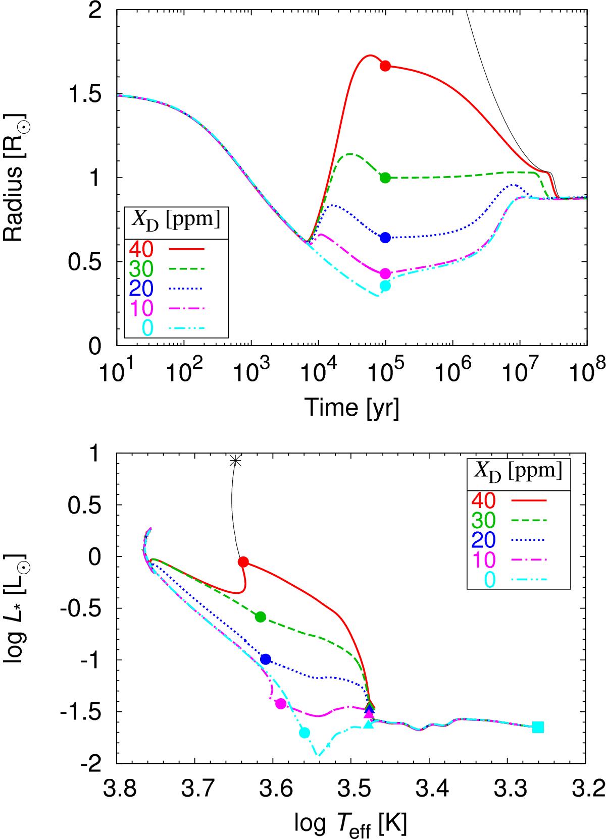
Fig. 3

Radius evolution (top panel) and evolutionary tracks (bottom) with varying deuterium contents ranging from XD = 40 (red solid line), 30 (green dashed), 20 (blue dotted), 10 (pink dot-dashed), and 0 (blue double dot-dashed) ppm. The points represent the end of the accretion phase and the black solid lines represent the classical PMS evolutionary tracks.
Current usage metrics show cumulative count of Article Views (full-text article views including HTML views, PDF and ePub downloads, according to the available data) and Abstracts Views on Vision4Press platform.
Data correspond to usage on the plateform after 2015. The current usage metrics is available 48-96 hours after online publication and is updated daily on week days.
Initial download of the metrics may take a while.