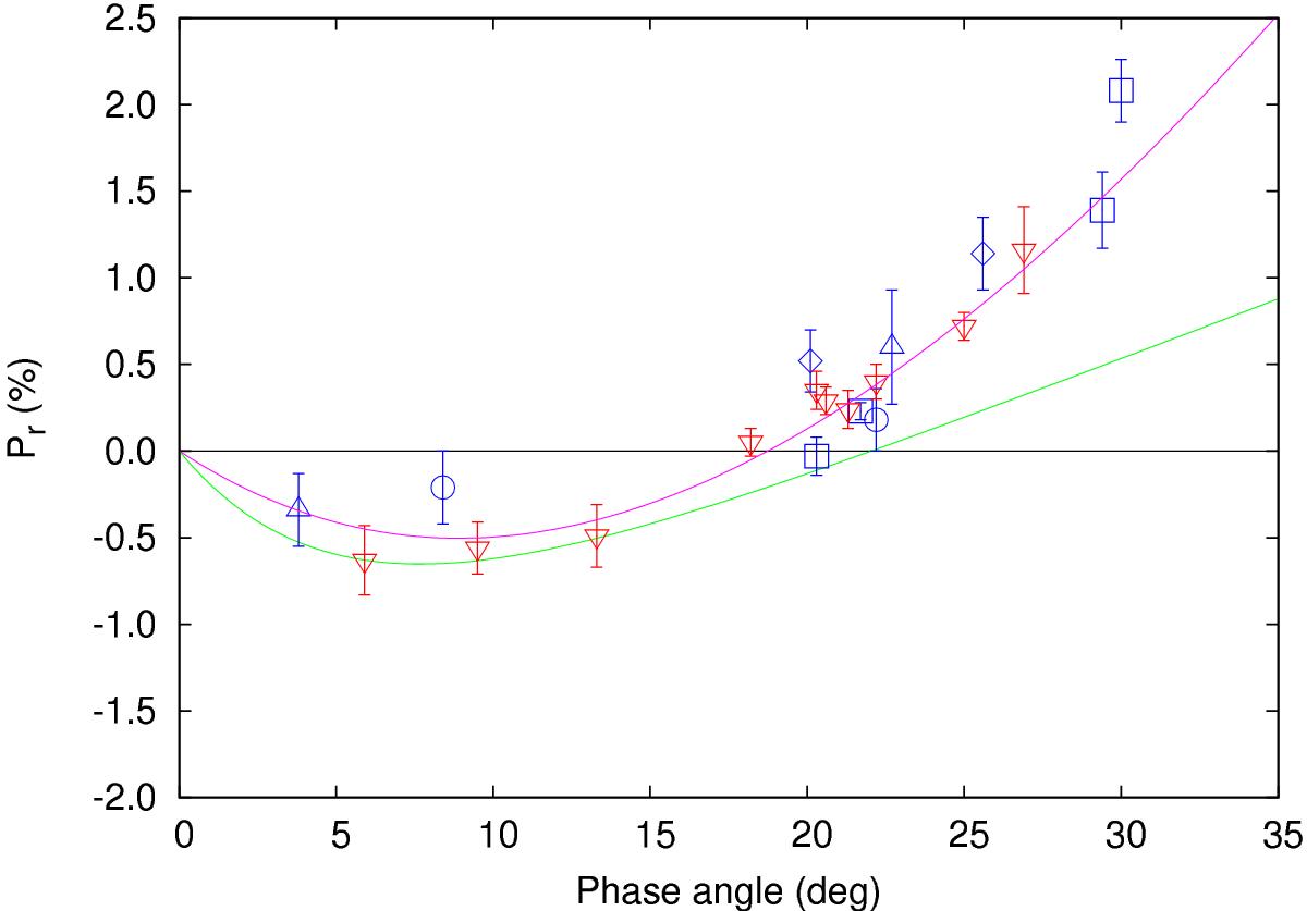
Fig. 2

Polarimetric observations of V-type asteroids with polarimetric properties similar to (1459) Magnya. The observations of (809) Lundia are indicated with squares; (2468) Repin with circles; (2795) Lepage with triangles; (4005) Dyagilev with diamonds; and those of (956) Elisa, (1946) Walraven, (2432) Soomana, (2590) Mourao, (3657) Ermolova, (6976) Kanatsu, and (7302) 1993 CQ are indicated with inverted red triangles since we have only one or two measurements for each object. The best fit found for the polarization curve is shown as a cyan line. For comparison, the polarization curve for (4) Vesta is indicated by a green line.
Current usage metrics show cumulative count of Article Views (full-text article views including HTML views, PDF and ePub downloads, according to the available data) and Abstracts Views on Vision4Press platform.
Data correspond to usage on the plateform after 2015. The current usage metrics is available 48-96 hours after online publication and is updated daily on week days.
Initial download of the metrics may take a while.