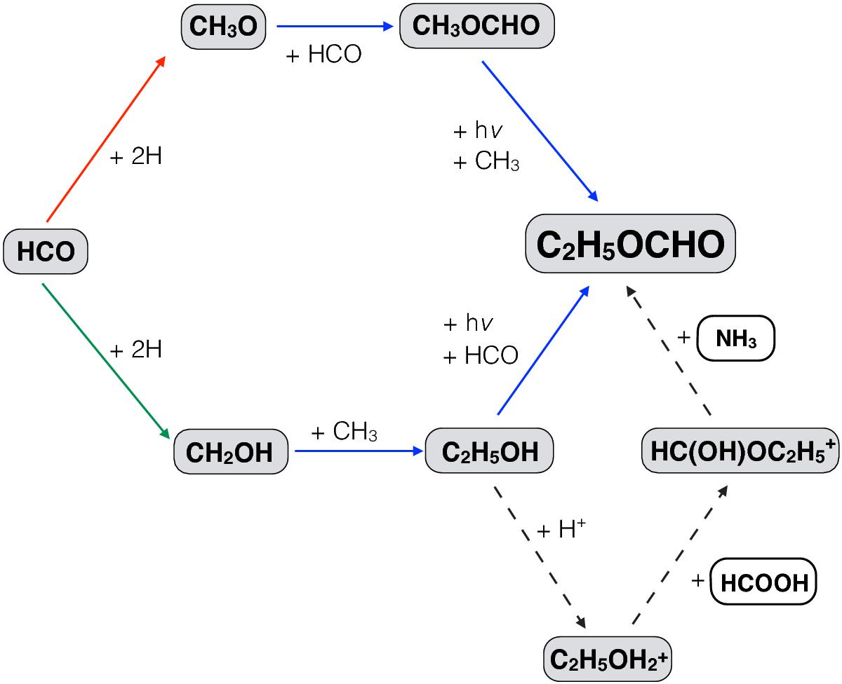
Fig. 3

Proposed formation routes for ethyl formate. Solid arrows indicate chemical reaction on grain surface, while dashed arrows correspond to gas-phase reactions. The references for the different pathways are: Tielens & Whittet (1997), Beltrán et al. (2009), Woods et al. (2012; red arrow); Hama & Watanabe (2013; green arrow); Garrod et al. (2008), Belloche et al. (2009; blue arrow); and Taquet et al. (2016; dashed black arrows).
Current usage metrics show cumulative count of Article Views (full-text article views including HTML views, PDF and ePub downloads, according to the available data) and Abstracts Views on Vision4Press platform.
Data correspond to usage on the plateform after 2015. The current usage metrics is available 48-96 hours after online publication and is updated daily on week days.
Initial download of the metrics may take a while.