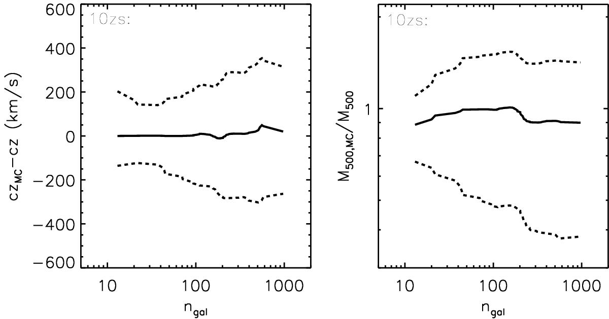
Fig. 5

Bias (solid curves) and dispersion (dashed curves) of the redshift (left panel) and dynamical mass (right panel) measurements in the 10zs setup from the input cluster values versus input number of cluster galaxies. The curves are smoothed with a boxcar average of the specified width of 11 to avoid spikes due to under-sampling for a few clusters. Note that ngal is the input number of galaxies and the output number of galaxies is always 10.
Current usage metrics show cumulative count of Article Views (full-text article views including HTML views, PDF and ePub downloads, according to the available data) and Abstracts Views on Vision4Press platform.
Data correspond to usage on the plateform after 2015. The current usage metrics is available 48-96 hours after online publication and is updated daily on week days.
Initial download of the metrics may take a while.