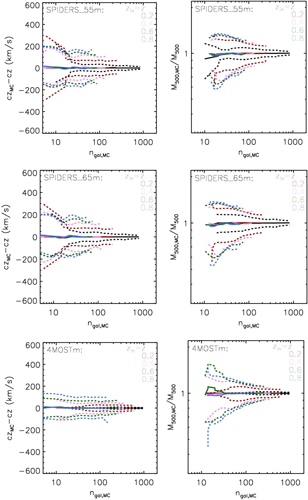
Fig. 6

Bias (solid curves) and dispersion (dashed curves) of the redshift (left panels) and dynamical mass (right panels) measurements in the SPIDERS_55m (upper panels), SPIDERS_65m (middle panels) and 4MOSTm (lower panels) setups from the input cluster values as a function of the re-sampled number of redshifts in use. The curves are smoothed with a boxcar average of the specified width of 11 to avoid spikes due to under-sampling for a few clusters.
Current usage metrics show cumulative count of Article Views (full-text article views including HTML views, PDF and ePub downloads, according to the available data) and Abstracts Views on Vision4Press platform.
Data correspond to usage on the plateform after 2015. The current usage metrics is available 48-96 hours after online publication and is updated daily on week days.
Initial download of the metrics may take a while.