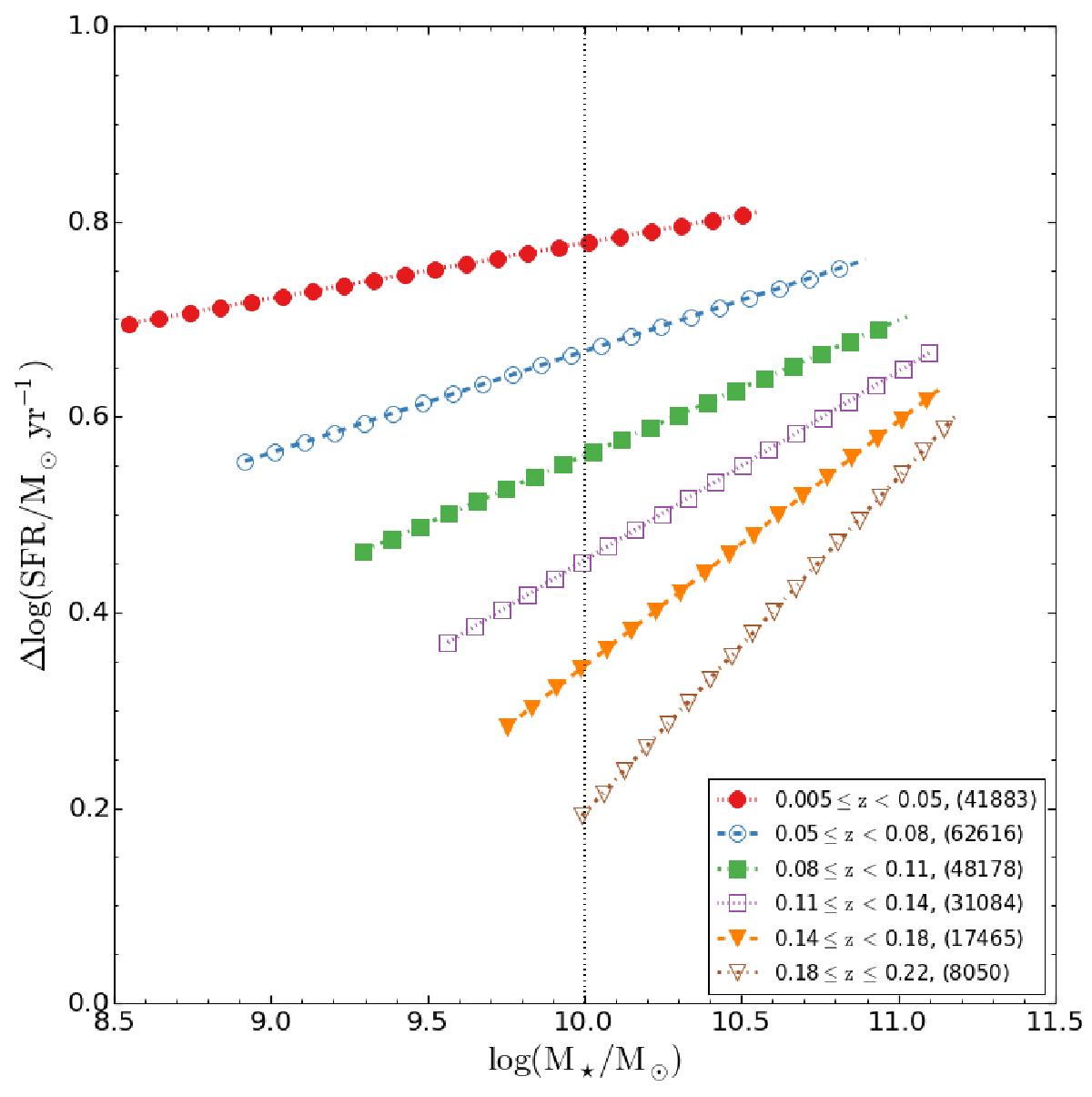
Fig. 4

Empirical SFR corrections (total – SDSS fibre) vs. M⋆ relation. Red, blue, green, magenta, orange, and gold lines represent the fit to the running median for bins of 1000 objects in six redshift bins up to z = 0.22 for a sample of star-forming galaxies. The numbers of star-forming galaxies in each redshift bin appear on the legend. The vertical black dotted line corresponds to the reference value at log (M⋆/M⊙) = 10.
Current usage metrics show cumulative count of Article Views (full-text article views including HTML views, PDF and ePub downloads, according to the available data) and Abstracts Views on Vision4Press platform.
Data correspond to usage on the plateform after 2015. The current usage metrics is available 48-96 hours after online publication and is updated daily on week days.
Initial download of the metrics may take a while.