Free Access
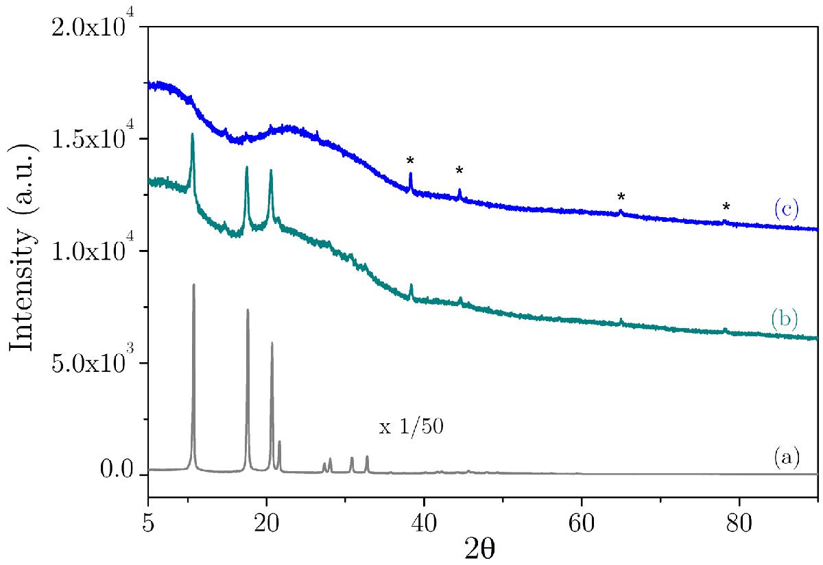
Fig. 10

X-ray diffraction powder pattern of (a) pristine C60; (b) Shock exposed 139 μmol C60; (c) Shock exposed 104 μmol C60. The stars indicate metal alloy contribution from the aluminum ruptured diaphragm.
Current usage metrics show cumulative count of Article Views (full-text article views including HTML views, PDF and ePub downloads, according to the available data) and Abstracts Views on Vision4Press platform.
Data correspond to usage on the plateform after 2015. The current usage metrics is available 48-96 hours after online publication and is updated daily on week days.
Initial download of the metrics may take a while.