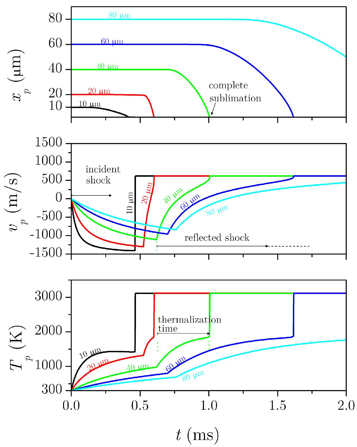
Fig. 3

1D simulation of the time evolution of the radius xp, velocity vp along the propagation axis, and temperature Tp of a single particle behind the incident and reflected shocks (Tg = 3135 K, M = 4.36) in pure Ar (P1 = 0.2 bar) in the laboratory. Calculations have been performed for initial radius of 10, 20, 40, 60, 80 μm. For illustration, the thermalization time for the 40 μm radius particle behind the reflected shock wave is indicated (380 μs).
Current usage metrics show cumulative count of Article Views (full-text article views including HTML views, PDF and ePub downloads, according to the available data) and Abstracts Views on Vision4Press platform.
Data correspond to usage on the plateform after 2015. The current usage metrics is available 48-96 hours after online publication and is updated daily on week days.
Initial download of the metrics may take a while.