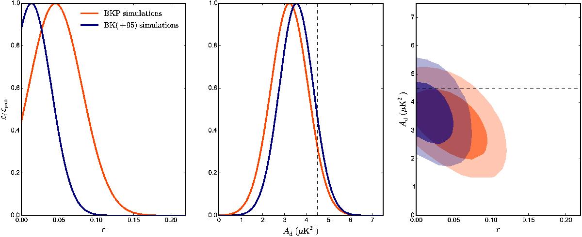
Fig. 4

spectra likelihood posteriors on the r and Ad parameters derived from the simulations of the BICEP2-Keck and Planck 353 GHz data, using: 150 and 353 GHz channels (BKP, red); and 95, 150 and 353 GHz channels (BK(+95), blue). The 1D posteriors of r (marginalized over
and Ad) and of Ad (marginalized over
and r) are shown in the left and middle panels (blue and red lines, respectively). The input value in our simulations for the dust amplitude at 353 GHz (4.5 μK2 at ℓ = 80) is indicated as a dashed line. The 2D posterior marginalized over
is presented in the right panel (68% in darker shading and 95% in lighter shading).
Current usage metrics show cumulative count of Article Views (full-text article views including HTML views, PDF and ePub downloads, according to the available data) and Abstracts Views on Vision4Press platform.
Data correspond to usage on the plateform after 2015. The current usage metrics is available 48-96 hours after online publication and is updated daily on week days.
Initial download of the metrics may take a while.