Free Access
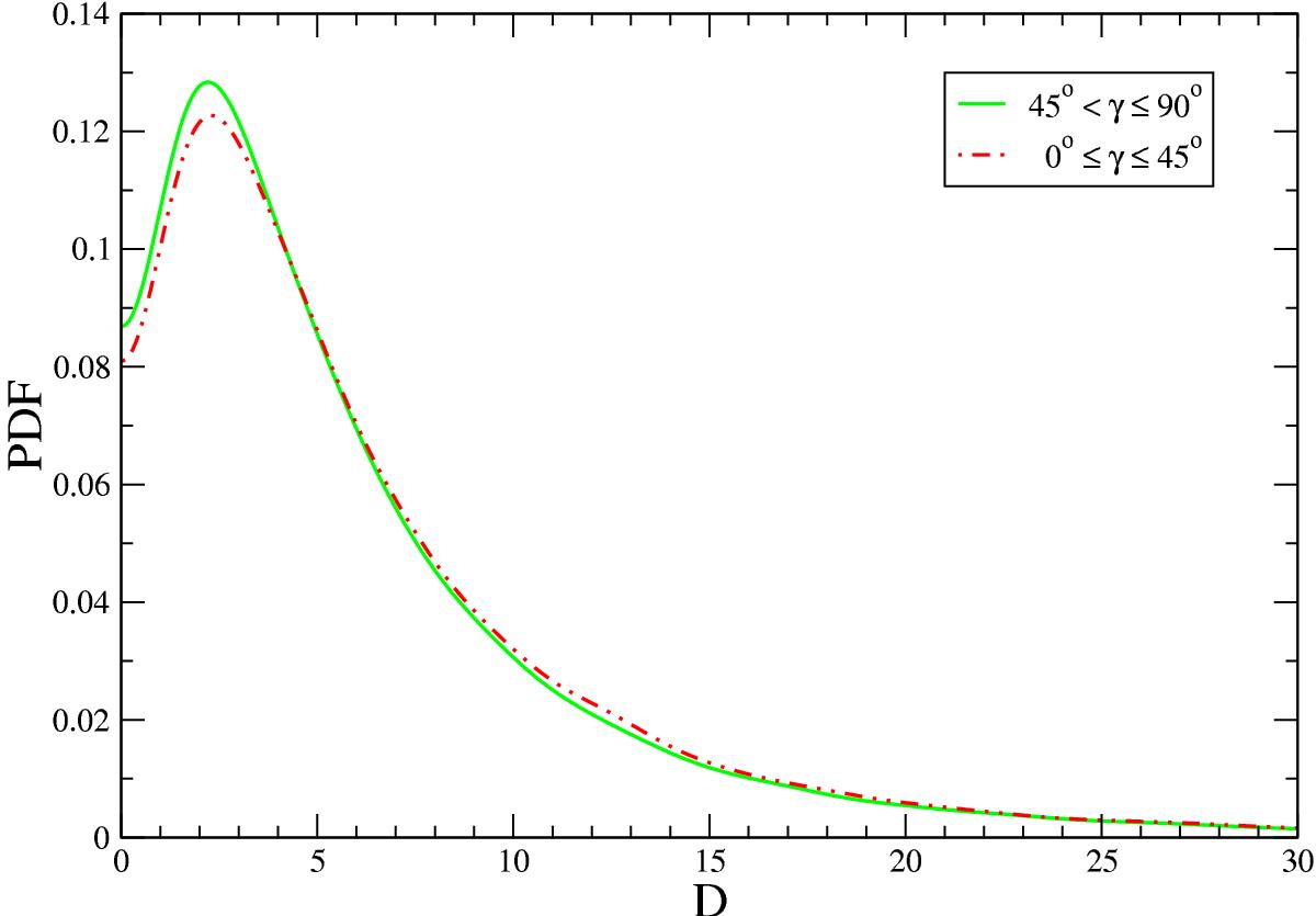
Fig. 6

PDFs of environmental density D for Sab galaxies with rather parallel and perpendicular alignment; ν = 7.0h-1 Mpc. The relative concentration of Sab galaxies with preferred perpendicular alignment is higher at D values at less than αD ≈ 4.3. To present the results more clearly, we truncated the range of D at 30.
Current usage metrics show cumulative count of Article Views (full-text article views including HTML views, PDF and ePub downloads, according to the available data) and Abstracts Views on Vision4Press platform.
Data correspond to usage on the plateform after 2015. The current usage metrics is available 48-96 hours after online publication and is updated daily on week days.
Initial download of the metrics may take a while.