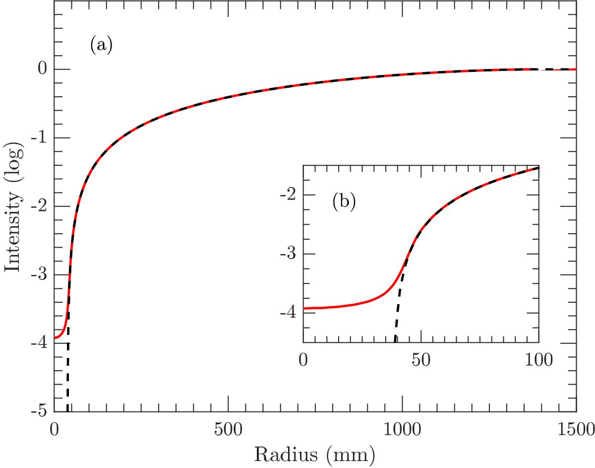
Fig. 5

Intensity IA(r) in plane A, in logarithmic scale. The intensity is normalized to the mean solar brightness. Red: radial profile of diffracted light produced by the external occulter. Black dashed: related geometrical profile. a) Penumbra profile in full range. b) Enlargement in [0 mm;100 mm] corresponding to the umbra region.
Current usage metrics show cumulative count of Article Views (full-text article views including HTML views, PDF and ePub downloads, according to the available data) and Abstracts Views on Vision4Press platform.
Data correspond to usage on the plateform after 2015. The current usage metrics is available 48-96 hours after online publication and is updated daily on week days.
Initial download of the metrics may take a while.