Free Access
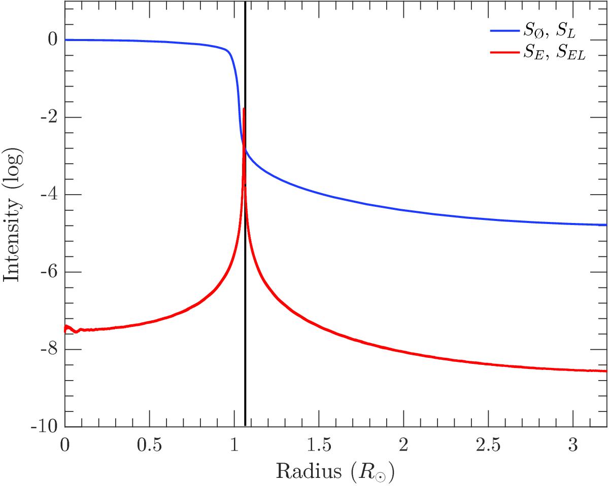
Fig. 7

Observed intensities IO′(r) in plane O′, in logarithmic scale. The transverse radius is given in solar units. The intensities are normalized to the mean solar brightness. Blue: raw image of the Sun in plane O′. Red: diffracted sunlight by the external occulter. Vertical line: 1.065 R⊙ radius internal occulter.
Current usage metrics show cumulative count of Article Views (full-text article views including HTML views, PDF and ePub downloads, according to the available data) and Abstracts Views on Vision4Press platform.
Data correspond to usage on the plateform after 2015. The current usage metrics is available 48-96 hours after online publication and is updated daily on week days.
Initial download of the metrics may take a while.