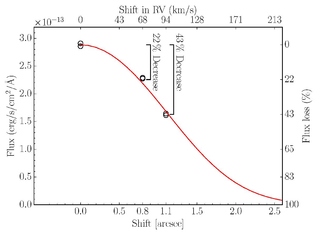
Fig. A.3

A positional shift of the aperture away from the central position results in a flux loss as indicated with the red line. The black circles represent the measured flux level for the 26 December 2015 and 30 January 2016 measurements when shifted by 0.0, +0.8 and +1.1″. A shift ±0.8 arcsec away from the central position results in a 68 km s-1 RV shift of the Ly-α line and a 22% decrease in flux. The 1.1 arcsec shift resulted in a 94 km s-1 shift in the Ly-α line and a 43% decrease in flux.
Current usage metrics show cumulative count of Article Views (full-text article views including HTML views, PDF and ePub downloads, according to the available data) and Abstracts Views on Vision4Press platform.
Data correspond to usage on the plateform after 2015. The current usage metrics is available 48-96 hours after online publication and is updated daily on week days.
Initial download of the metrics may take a while.