Free Access
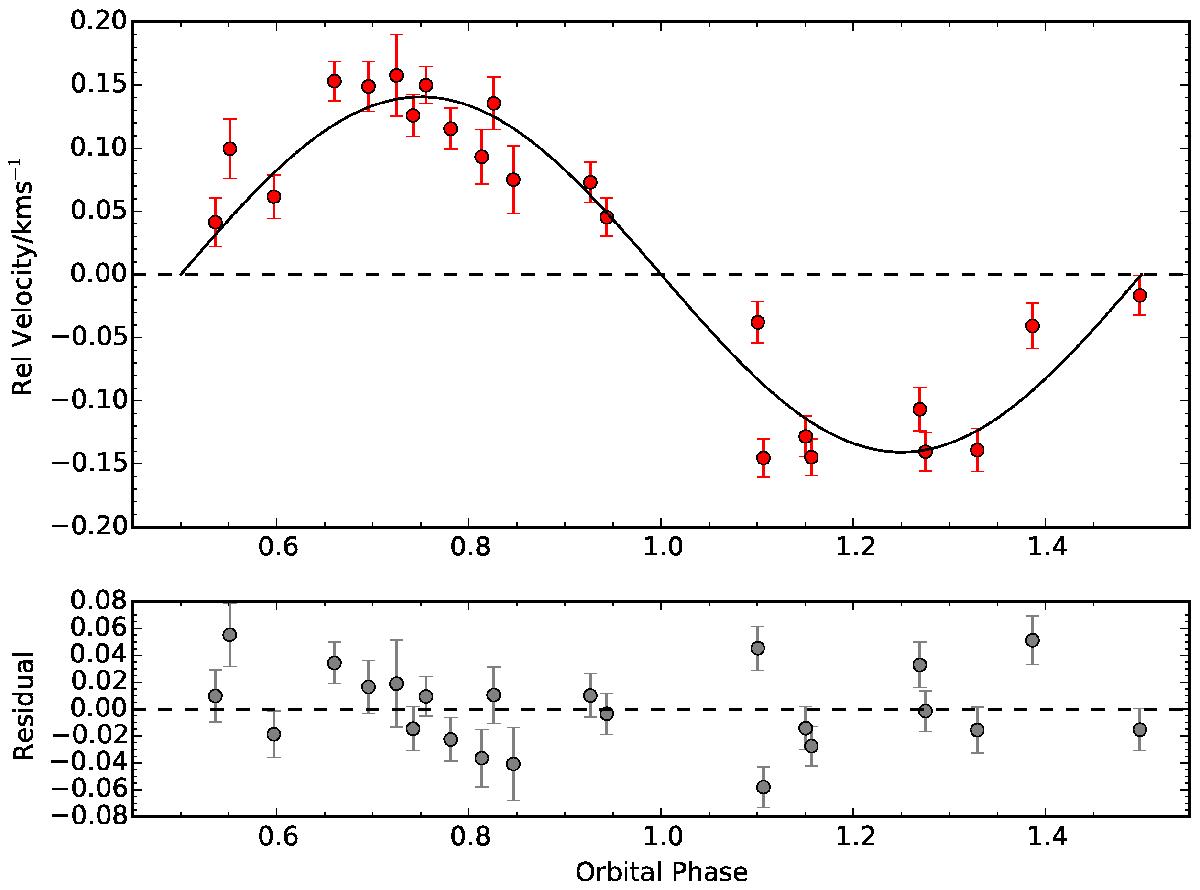
Fig. 3

Upper panel: phase-folded radial velocity of WASP-136, measured by CORALIE (red circles), as a function of the orbital phase with the best-fit RV curve plotted as a black solid line. Lower panel: residuals from the RV fit as a function of orbital phase.
Current usage metrics show cumulative count of Article Views (full-text article views including HTML views, PDF and ePub downloads, according to the available data) and Abstracts Views on Vision4Press platform.
Data correspond to usage on the plateform after 2015. The current usage metrics is available 48-96 hours after online publication and is updated daily on week days.
Initial download of the metrics may take a while.