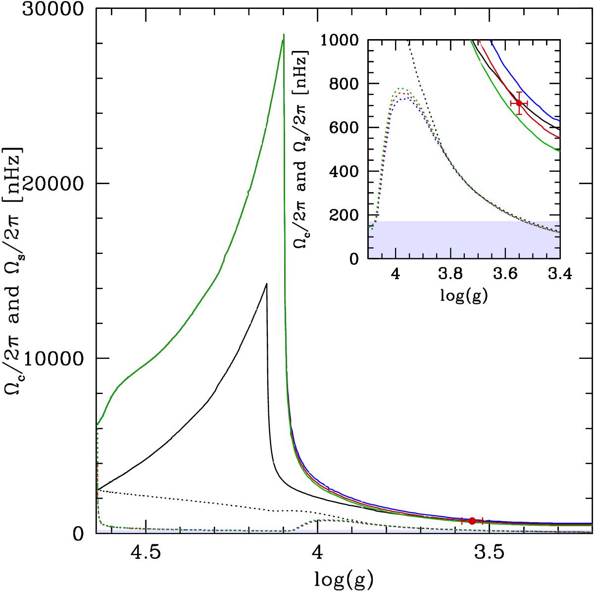
Fig. 10

Same as Fig. 9 for models computed without additional viscosity during the main sequence. The black line corresponds to a model with an initial velocity on the ZAMS of 8 km s-1, an additional viscosity during the post-main sequence of 1.1 × 104 cm2 s-1, and without braking of the surface by magnetized winds. Blue, red, and green lines indicate models that include a solar-calibrated braking of the stellar surface and an additional viscosity during the post-main sequence of 1.1 × 104, 1.2 × 104, and 1.3 × 104 cm2 s-1, respectively. They are computed for an initial velocity of 20 km s-1 on the ZAMS.
Current usage metrics show cumulative count of Article Views (full-text article views including HTML views, PDF and ePub downloads, according to the available data) and Abstracts Views on Vision4Press platform.
Data correspond to usage on the plateform after 2015. The current usage metrics is available 48-96 hours after online publication and is updated daily on week days.
Initial download of the metrics may take a while.