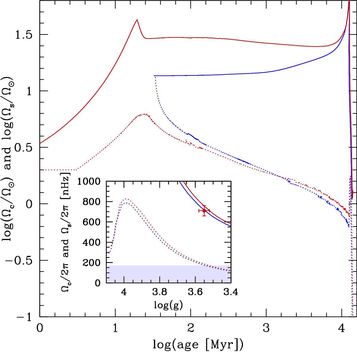
Fig. 11

Core (continuous lines) and surface (dotted lines) rotation rates as a function of age for a rotating model of KIC 7341231 starting on the ZAMS (blue lines) and a model that includes the pre-main-sequence evolution (red lines). The blue lines correspond to a model with solid-body rotation on the ZAMS and an initial rotation velocity of 20 km s-1. The red lines correspond to a model with an initial angular velocity of 2 Ω⊙ and a disk lifetime of 3 Myr. Both models are computed with hydrodynamic processes only before the post-main sequence, and with νadd = 1.2 × 104 cm2 s-1 during the post-main sequence. A zoom on the variation of the core and surface rotation rates as a function of log g is shown in the inset for these models. The red dot corresponds to the values of the core rotation rate and gravity determined for KIC 7341231, while the blue region indicates the upper limit for its surface rotation rate.
Current usage metrics show cumulative count of Article Views (full-text article views including HTML views, PDF and ePub downloads, according to the available data) and Abstracts Views on Vision4Press platform.
Data correspond to usage on the plateform after 2015. The current usage metrics is available 48-96 hours after online publication and is updated daily on week days.
Initial download of the metrics may take a while.