Free Access

Fig. 5

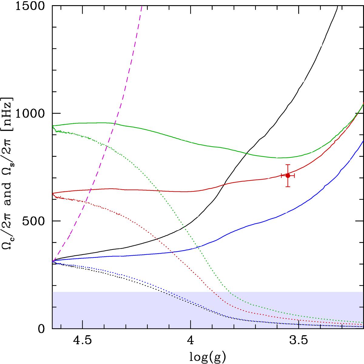
image

Same as Fig. 2, but for models of KIC 7341231 computed with low initial rotation rates. The dashed line indicates the core rotation rate for a model computed with shellular rotation only (i.e., νadd = 0) and an initial velocity on the ZAMS of 1 km s-1. The black and blue lines indicate models computed with an initial velocity on the ZAMS of 1 km s-1 and with an additional viscosity of 1 × 103 and 2 × 103 cm2 s-1, respectively. The red line corresponds to a model with an initial velocity on the ZAMS of 2 km s-1 and an additional viscosity of 3 × 103 cm2 s-1. The green line indicates a model with an initial velocity on the ZAMS of 3 km s-1 and an additional viscosity of 4 × 103 cm2 s-1.

Current usage metrics show cumulative count of Article Views (full-text article views including HTML views, PDF and ePub downloads, according to the available data) and Abstracts Views on Vision4Press platform.

Data correspond to usage on the plateform after 2015. The current usage metrics is available 48-96 hours after online publication and is updated daily on week days.

Initial download of the metrics may take a while.