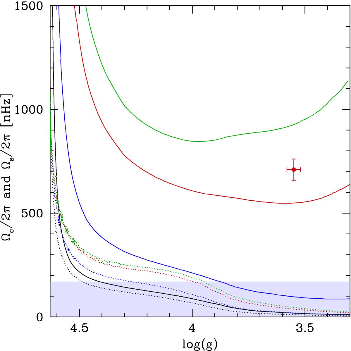
Fig. 7

Core (continuous lines) and surface (dotted lines) rotation rates as a function of gravity for models with an initial velocity on the ZAMS of 50 km s-1, which account for surface magnetic braking. Black, blue, red, and green lines indicate models with a solar-calibrated braking and an additional viscosity of 3 × 104, 1 × 104, 4 × 103, and 3 × 103 cm2 s-1, respectively. The red dot indicates the values of the core rotation rate and gravity determined for KIC 7341231, while the blue region indicates the upper limit for its surface rotation rate.
Current usage metrics show cumulative count of Article Views (full-text article views including HTML views, PDF and ePub downloads, according to the available data) and Abstracts Views on Vision4Press platform.
Data correspond to usage on the plateform after 2015. The current usage metrics is available 48-96 hours after online publication and is updated daily on week days.
Initial download of the metrics may take a while.