Free Access
Fig. 8

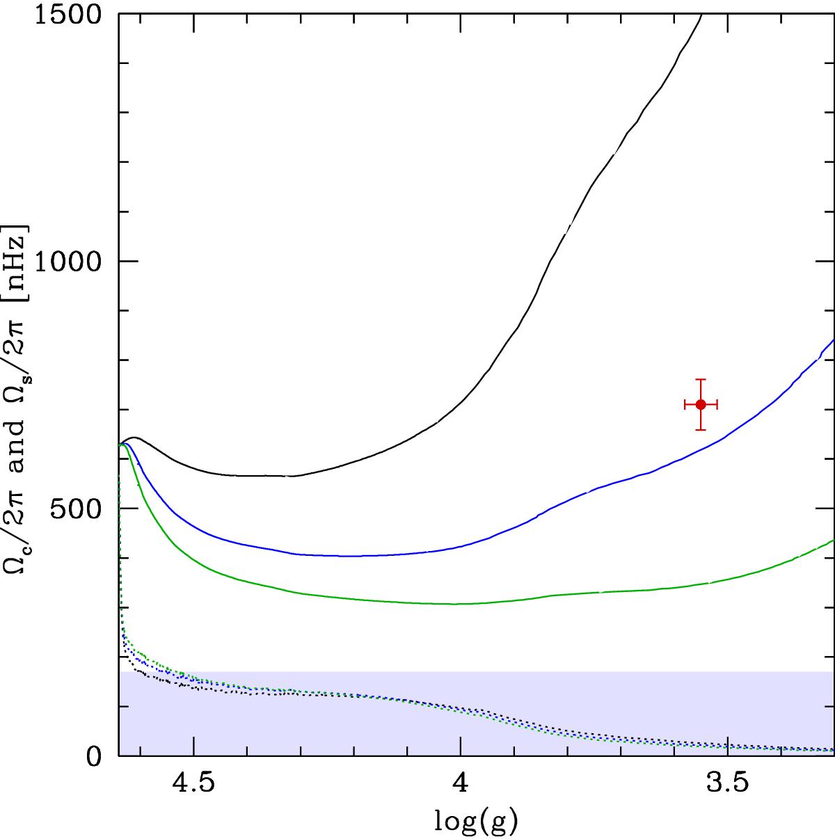
Same as Fig. 7, but for models with an initial velocity on the ZAMS of 2 km s-1. The black, blue, and green lines indicate models computed with a solar-calibrated braking of the stellar surface during the main sequence and an additional viscosity of 1 × 103, 2 × 103, and 3 × 103 cm2 s-1, respectively.
Current usage metrics show cumulative count of Article Views (full-text article views including HTML views, PDF and ePub downloads, according to the available data) and Abstracts Views on Vision4Press platform.
Data correspond to usage on the plateform after 2015. The current usage metrics is available 48-96 hours after online publication and is updated daily on week days.
Initial download of the metrics may take a while.