Free Access
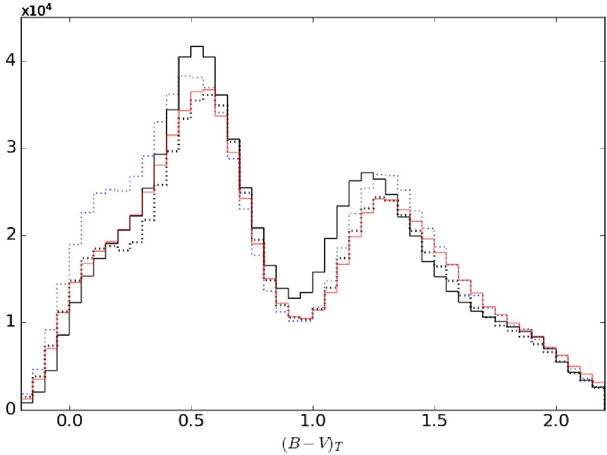
Fig. 11

Colour (B−V)T distribution for the whole sky. The black solid thick line is for Tycho-2 catalogue, the dotted blue and black lines are, respectively, for Models A and B of Czekaj et al. (2014), the red solid thin line is for our model variation DAV.
Current usage metrics show cumulative count of Article Views (full-text article views including HTML views, PDF and ePub downloads, according to the available data) and Abstracts Views on Vision4Press platform.
Data correspond to usage on the plateform after 2015. The current usage metrics is available 48-96 hours after online publication and is updated daily on week days.
Initial download of the metrics may take a while.