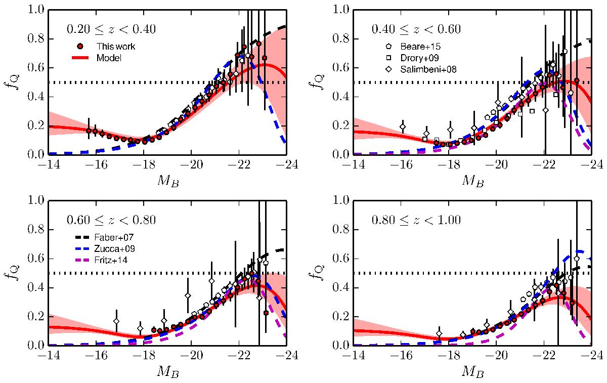
Fig. 15

ALHAMBRA quiescent fraction fQ in four redshift bins (labelled in the panels). The red dots are the observed fQ. The red solid line is the quiescent faction median model, and the coloured area its 95% confidence range. The other symbols, labelled in the panels, are from the literature: the dashed lines are from the Schechter best fit of Faber et al. (2007), Zucca et al. (2009), and Fritz et al. (2014), the white pentagons are from Brown et al. (2007), the squares from Drory et al. (2009), and the diamonds from Salimbeni et al. (2008). The error bars mark 2σ confidence intervals. The dotted horizontal line marks fQ = 0.5.
Current usage metrics show cumulative count of Article Views (full-text article views including HTML views, PDF and ePub downloads, according to the available data) and Abstracts Views on Vision4Press platform.
Data correspond to usage on the plateform after 2015. The current usage metrics is available 48-96 hours after online publication and is updated daily on week days.
Initial download of the metrics may take a while.