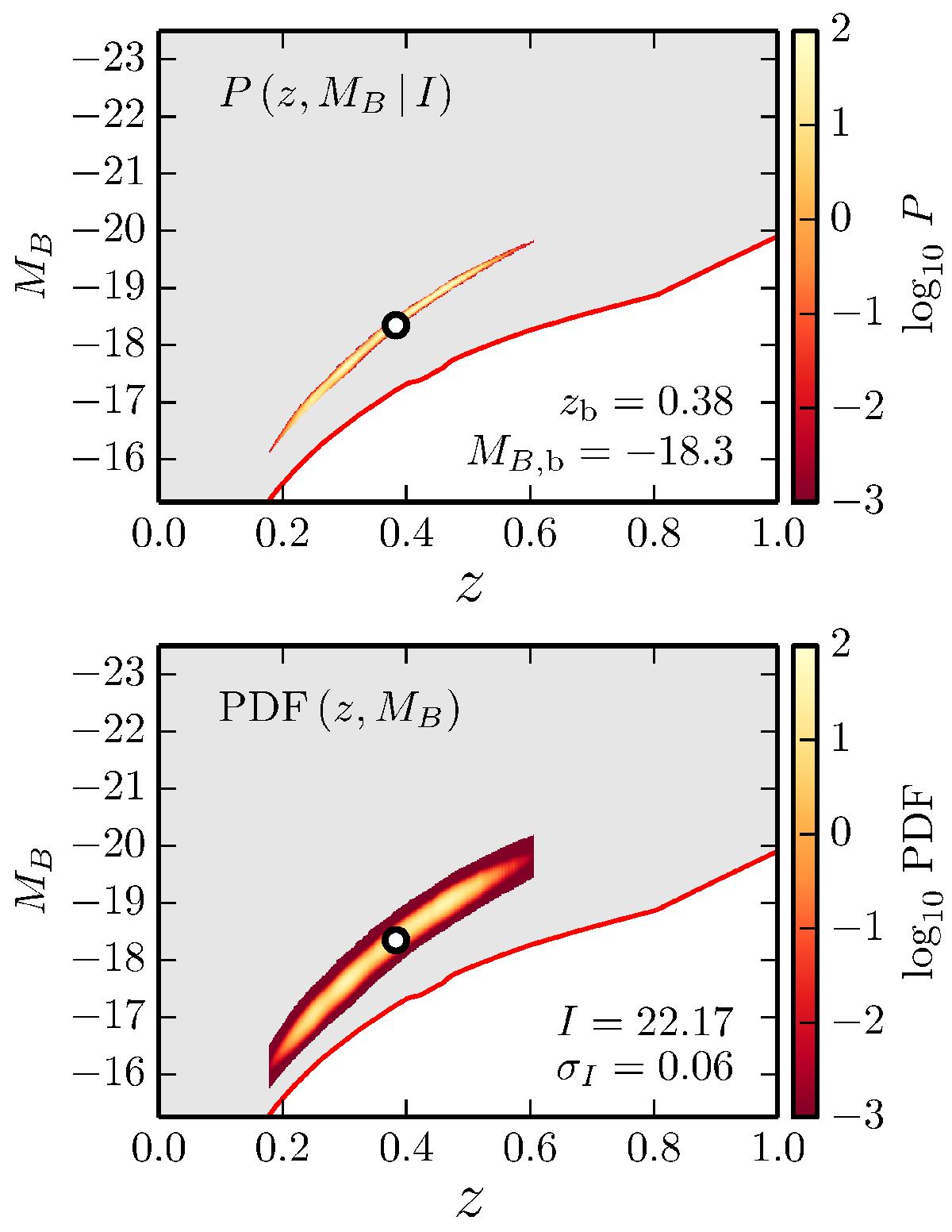
Fig. 5

Top panel: probability in the z−MB space, P (z,MB | I), of the ALHAMBRA galaxy presented in Fig. 3. The white dot marks the best Bayesian redshift and MB, labelled in the panel. Bottom panel: posterior probability in the z−MB space, PDF (z,MB), of the same ALHAMBRA galaxy. The convolution with the source function S(I0 | I,σI) produces the desired posterior in real magnitude I0. The red solid line in both panels shows the I0 = 24 limiting magnitude, MB,lim, and the grey areas mark the accessible volumes in z−MB space.
Current usage metrics show cumulative count of Article Views (full-text article views including HTML views, PDF and ePub downloads, according to the available data) and Abstracts Views on Vision4Press platform.
Data correspond to usage on the plateform after 2015. The current usage metrics is available 48-96 hours after online publication and is updated daily on week days.
Initial download of the metrics may take a while.