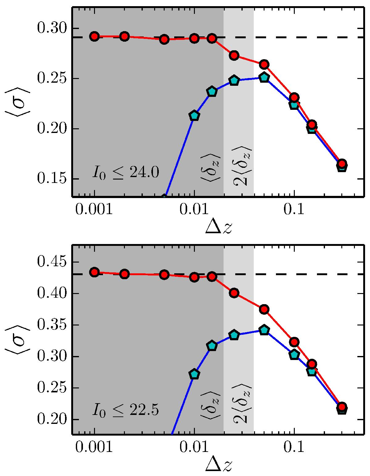
Fig. 7

Median total variance (red dots) and the median cosmic variance (cyan pentagons) as a function of the redshift bin size Δz for I0 ≤ 24 (top panel) and I0 ≤ 22.5 galaxies (bottom panel) at 0.2 ≤ z< 1. The dashed lines mark the total variance in the constant regime. The grey areas mark those bin sizes smaller than ⟨ δz ⟩, the ALHAMBRA photometric redshift precision, and 2 ⟨ δz ⟩.
Current usage metrics show cumulative count of Article Views (full-text article views including HTML views, PDF and ePub downloads, according to the available data) and Abstracts Views on Vision4Press platform.
Data correspond to usage on the plateform after 2015. The current usage metrics is available 48-96 hours after online publication and is updated daily on week days.
Initial download of the metrics may take a while.