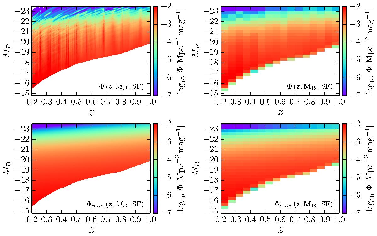
Fig. 8

Top panels: posterior luminosity function of star-forming galaxies in ALHAMBRA, Φ (z,MB | SF), differential (left) and binned (right) version with Δz = 0.05 and ΔMB = 0.3. Bottom panels: median luminosity function model for star-forming galaxies, differential (left) and binned (right) version. These luminosity functions are complete for I0 ≤ 24 galaxies.
Current usage metrics show cumulative count of Article Views (full-text article views including HTML views, PDF and ePub downloads, according to the available data) and Abstracts Views on Vision4Press platform.
Data correspond to usage on the plateform after 2015. The current usage metrics is available 48-96 hours after online publication and is updated daily on week days.
Initial download of the metrics may take a while.