Free Access
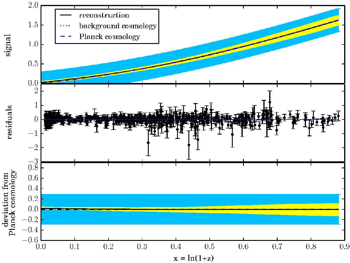
Fig. 3

Upper panel: reconstruction assuming Planck cosmology as background cosmology. The blue and yellow regions correspond to the prior and posterior 1σ uncertainty limits respectively. Middle panel: residuals of the reconstruction; bottom panel: deviation of the reconstruction from Planck cosmology.
Current usage metrics show cumulative count of Article Views (full-text article views including HTML views, PDF and ePub downloads, according to the available data) and Abstracts Views on Vision4Press platform.
Data correspond to usage on the plateform after 2015. The current usage metrics is available 48-96 hours after online publication and is updated daily on week days.
Initial download of the metrics may take a while.