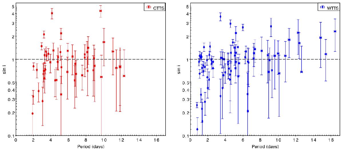
Fig. 10

Estimates of sin i obtained, as a function of the rotation period, for CTTS (red; left panel) and WTTS (blue; right panel) in our sample with v sin i measurements from Baxter et al. (2009), periods from this study and R⋆ estimates from Venuti et al. (2014). The sin i = 1 level is marked as a black dashed line. Horizontal error bars are derived following Eq. (6). Vertical error bars are derived by standard error propagation on Eq. (9). A typical uncertainty of 5 km s-1 is assumed on v sini; this corresponds to the median difference between v sini estimates by Baxter et al. (2009) and those derived by S. Alencar from CSI 2264 VLT/FLAMES observations, for objects common to the two samples. Similarly, a typical uncertainty of 0.2 R⊙ is adopted for R⋆, that is the median difference between R⋆ estimates obtained by Venuti et al. (2014) and those of Rebull et al. (2002), for objects in common.
Current usage metrics show cumulative count of Article Views (full-text article views including HTML views, PDF and ePub downloads, according to the available data) and Abstracts Views on Vision4Press platform.
Data correspond to usage on the plateform after 2015. The current usage metrics is available 48-96 hours after online publication and is updated daily on week days.
Initial download of the metrics may take a while.