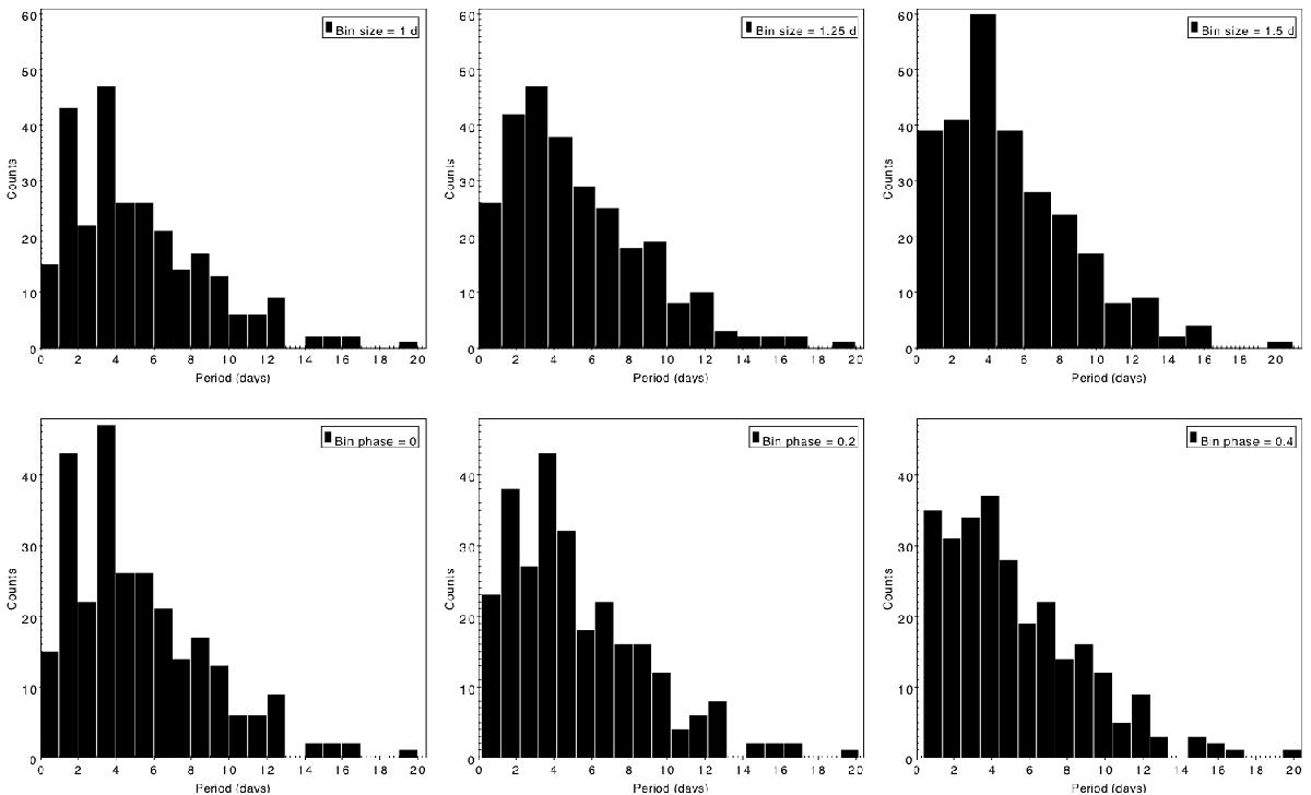
Fig. B.1

Illustration of how the shape and features of the period histogram in Fig. 5 would evolve when varying the bin size (upper panels) or the bin phase (lower panels). The starting bin size and phase (of 1 d and 0, respectively; these are shown on the upper left panel and on the lower left panel of this figure) correspond to those adopted in Fig. 5 and considered for the subsequent analysis. In the upper panel, the bin size is progressively increased by 0.25 d at each step from the left diagram to the right diagram; in the lower panel, a fixed bin size of 1 d is adopted and the bin center is progressively shifted by 0.2 d at each step from the left diagram to the right diagram.
Current usage metrics show cumulative count of Article Views (full-text article views including HTML views, PDF and ePub downloads, according to the available data) and Abstracts Views on Vision4Press platform.
Data correspond to usage on the plateform after 2015. The current usage metrics is available 48-96 hours after online publication and is updated daily on week days.
Initial download of the metrics may take a while.