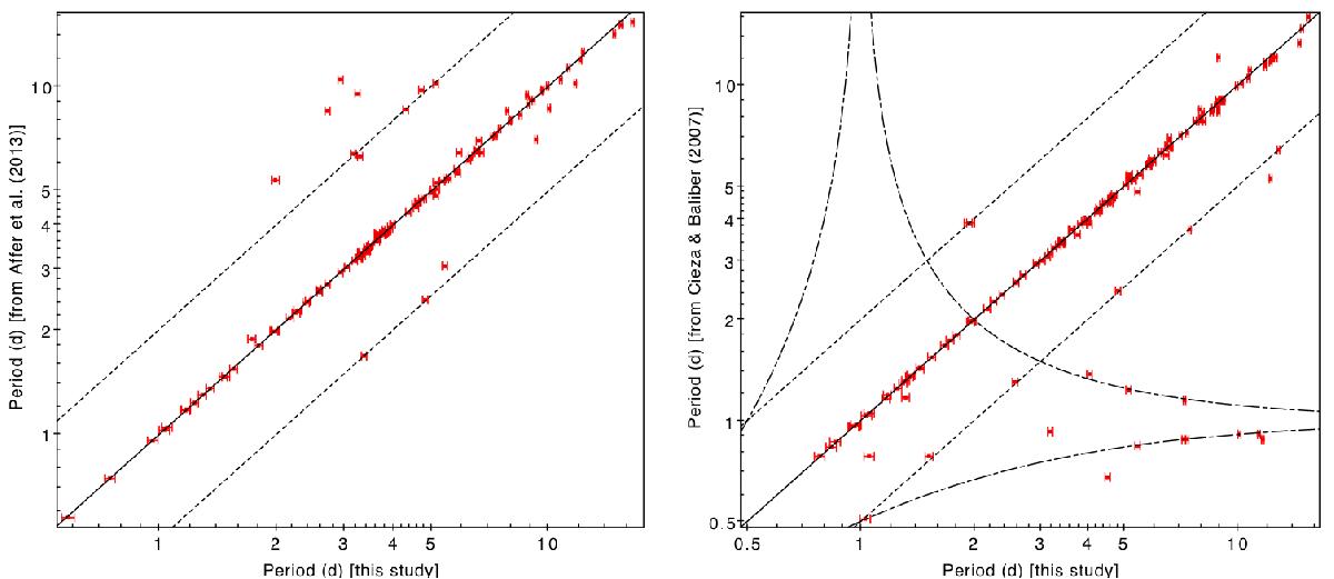
Fig. 4

Comparison of the period values derived in this study with those obtained in the study of Affer et al. (2013; left panel; 117 sources depicted) and those reported in Cieza & Baliber (2007; right panel; 145 sources depicted). 91% of the periods reported in Cieza & Baliber’s (2007) sample are from Lamm et al. (2005; after (Lamm et al. (2004)); the remaining are from Makidon et al. (2004). The intersection between the sample shown on the left panel and that shown on the right panel of this figure amounts to 61 objects. The equality line is traced as a solid line; the half and double values lines are traced as dotted lines. The dash-dot lines trace the beat period with a 1 d sampling interval (e.g., Cieza & Baliber 2006; Davies et al. 2014). Error bars along the x-axis are computed following Eq. (6). Multi-periodic objects are not shown on these diagrams.
Current usage metrics show cumulative count of Article Views (full-text article views including HTML views, PDF and ePub downloads, according to the available data) and Abstracts Views on Vision4Press platform.
Data correspond to usage on the plateform after 2015. The current usage metrics is available 48-96 hours after online publication and is updated daily on week days.
Initial download of the metrics may take a while.