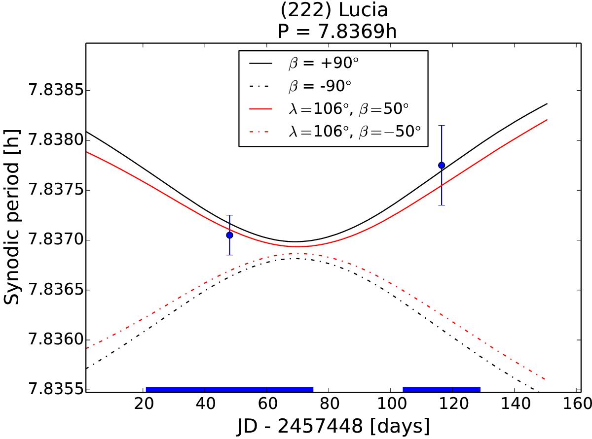
Fig. 1

Modeled synodic period for asteroid (222) Lucia. Models for various spin-axis orientations are shown with solid lines (prograde models) and dashed lines (retrograde models). Points are the measured synodic periods with uncertainties. Thick lines at the bottom of the plot indicate the time-span over which the observations were taken.
Current usage metrics show cumulative count of Article Views (full-text article views including HTML views, PDF and ePub downloads, according to the available data) and Abstracts Views on Vision4Press platform.
Data correspond to usage on the plateform after 2015. The current usage metrics is available 48-96 hours after online publication and is updated daily on week days.
Initial download of the metrics may take a while.