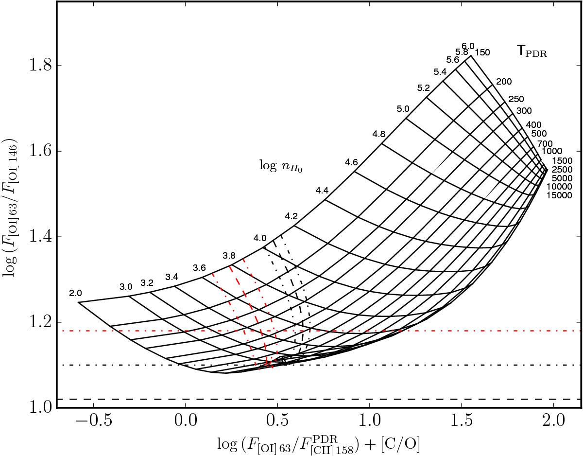
Fig. 9

Temperature-density PDR diagnostic diagram. The grid of flux ratios F[O i] 63/F[O i] 146 versus was calculated by solving the level population equations for a range of temperatures and densities. The black and the red lines correspond to the H2 and the H1 regions, respectively. The quasi-vertical dashed lines indicate the pressure equilibrium constraint between the H ii region and the PDR, with the corresponding errors (dash-dot lines). The horizontal dashed line corresponds to the observed ratio with the errors (see Vamvatira-Nakou et al. 2013, for more details).
Current usage metrics show cumulative count of Article Views (full-text article views including HTML views, PDF and ePub downloads, according to the available data) and Abstracts Views on Vision4Press platform.
Data correspond to usage on the plateform after 2015. The current usage metrics is available 48-96 hours after online publication and is updated daily on week days.
Initial download of the metrics may take a while.