Free Access
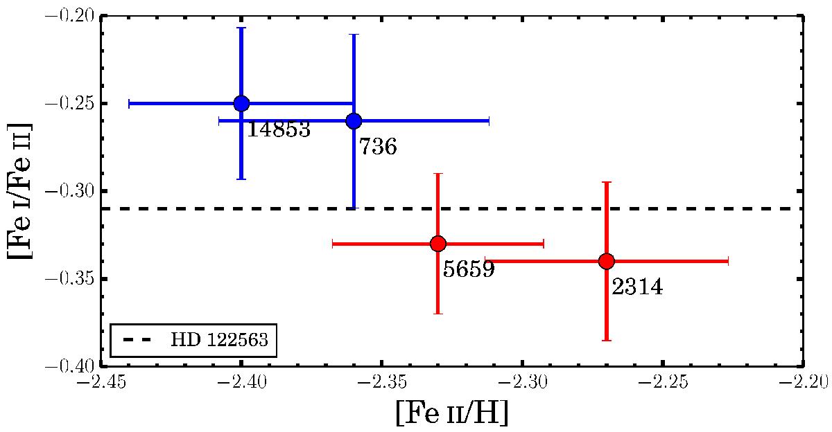
Fig. 6

Ionization imbalance between Fe i and Fe ii. Color coding of the stars was chosen to represent the membership of the potential sub-populations MP (blue) and MR (red). The indicated errors were computed by dividing the line-to-line abundance scatter by . The dashed line represents the [Fe i/Fe ii] found for HD 122563.
Current usage metrics show cumulative count of Article Views (full-text article views including HTML views, PDF and ePub downloads, according to the available data) and Abstracts Views on Vision4Press platform.
Data correspond to usage on the plateform after 2015. The current usage metrics is available 48-96 hours after online publication and is updated daily on week days.
Initial download of the metrics may take a while.