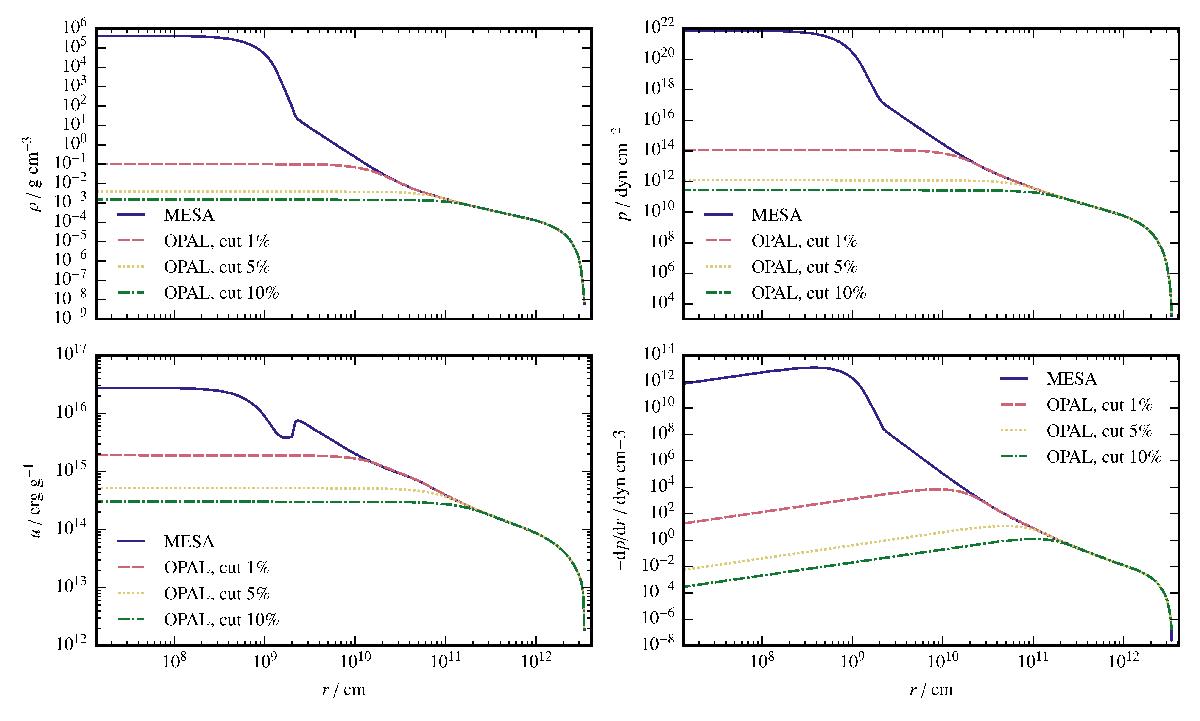
Fig. 4

Comparison of density (upper left), pressure (upper right), internal energy (lower left) and derivative of pressure (lower right) for a 2 M⊙ RG with a ~ 0.4 M⊙ He core. Shown is the original profile from the mesa stellar evolution code as well as approximate profiles for cut radii of 1%, 5%, and 10% of the total radius. The approximate profiles were computed using a polytropic index of n = 3 for the interior part.
Current usage metrics show cumulative count of Article Views (full-text article views including HTML views, PDF and ePub downloads, according to the available data) and Abstracts Views on Vision4Press platform.
Data correspond to usage on the plateform after 2015. The current usage metrics is available 48-96 hours after online publication and is updated daily on week days.
Initial download of the metrics may take a while.