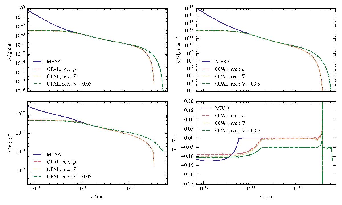
Fig. 5

Comparison of different integration methods for a 2 M⊙ RG using the OPAL equation of state. The profile was cut at 5% of the stellar radius. Shown are the density ρ (upper left), the pressure p (upper right), the internal energy u (lower left), and the difference between the gradient ∇ and the adiabatic gradient ∇ad (lower right).
Current usage metrics show cumulative count of Article Views (full-text article views including HTML views, PDF and ePub downloads, according to the available data) and Abstracts Views on Vision4Press platform.
Data correspond to usage on the plateform after 2015. The current usage metrics is available 48-96 hours after online publication and is updated daily on week days.
Initial download of the metrics may take a while.