Free Access
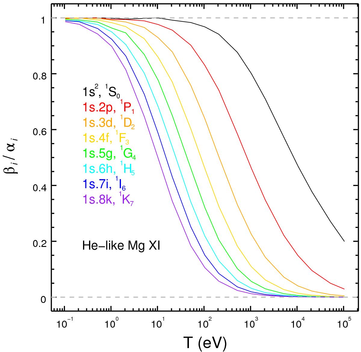
Fig. 1

For He-like Mg xi, the ratio between level-resolved electron energy loss rates Li and the corresponding radiative recombination rates times the temperature of the plasma, i.e. βi/αi (not be confused with βi/αt), where i refers to the nLSJ-resolved levels with n ≤ 8 (shown selectively in the plot).
Current usage metrics show cumulative count of Article Views (full-text article views including HTML views, PDF and ePub downloads, according to the available data) and Abstracts Views on Vision4Press platform.
Data correspond to usage on the plateform after 2015. The current usage metrics is available 48-96 hours after online publication and is updated daily on week days.
Initial download of the metrics may take a while.