Fig. 7

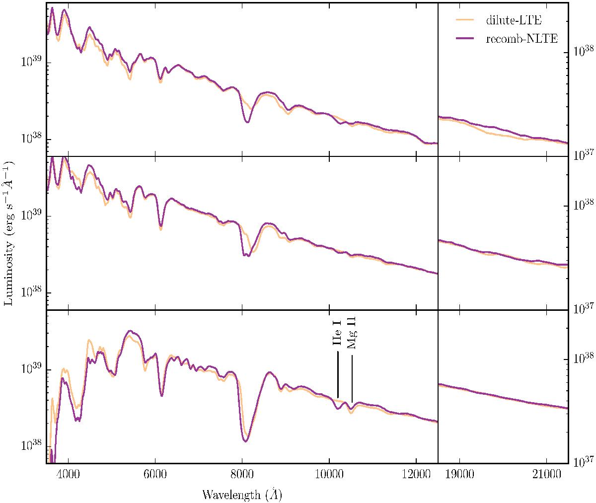
Spectra obtained for the HM model at epochs 12, 19 and 26 d after explosion. All of the spectra in this paper have had noise removed using a Savitzky-Golay filter (Savitzky & Golay 1964). The pink spectra are those obtained with the original TARDIS code without taking NLTE effects into account. The green spectra are those obtained using our new approximation for imitating NLTE effects. In this case, the 10 830 line appears weakly at late times, as highlighted in pink. The Mg ii 10 927 Å-feature that could be mistaken for the He 10 830 Å line is also highlighted in yellow.
Current usage metrics show cumulative count of Article Views (full-text article views including HTML views, PDF and ePub downloads, according to the available data) and Abstracts Views on Vision4Press platform.
Data correspond to usage on the plateform after 2015. The current usage metrics is available 48-96 hours after online publication and is updated daily on week days.
Initial download of the metrics may take a while.