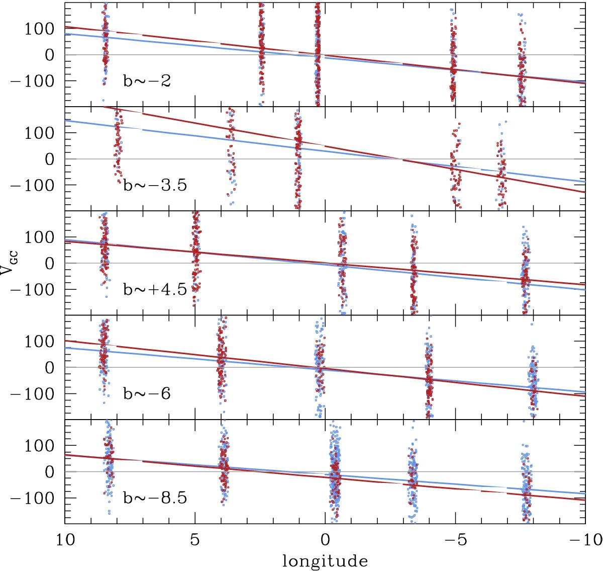
Fig. 13

Galactocentric radial velocity versus longitude, at approximately fixed latitudes, as indicated in the labels. Metal poor stars ([Fe/H] <−0.1) are shown in blue and metal rich stars ([Fe/H] >+ 0.1) in red. A linear relationship has been fit in each panel separately for each metallicity component. Metal poor stars rotate marginally slower than metal rich ones.
Current usage metrics show cumulative count of Article Views (full-text article views including HTML views, PDF and ePub downloads, according to the available data) and Abstracts Views on Vision4Press platform.
Data correspond to usage on the plateform after 2015. The current usage metrics is available 48-96 hours after online publication and is updated daily on week days.
Initial download of the metrics may take a while.