Free Access
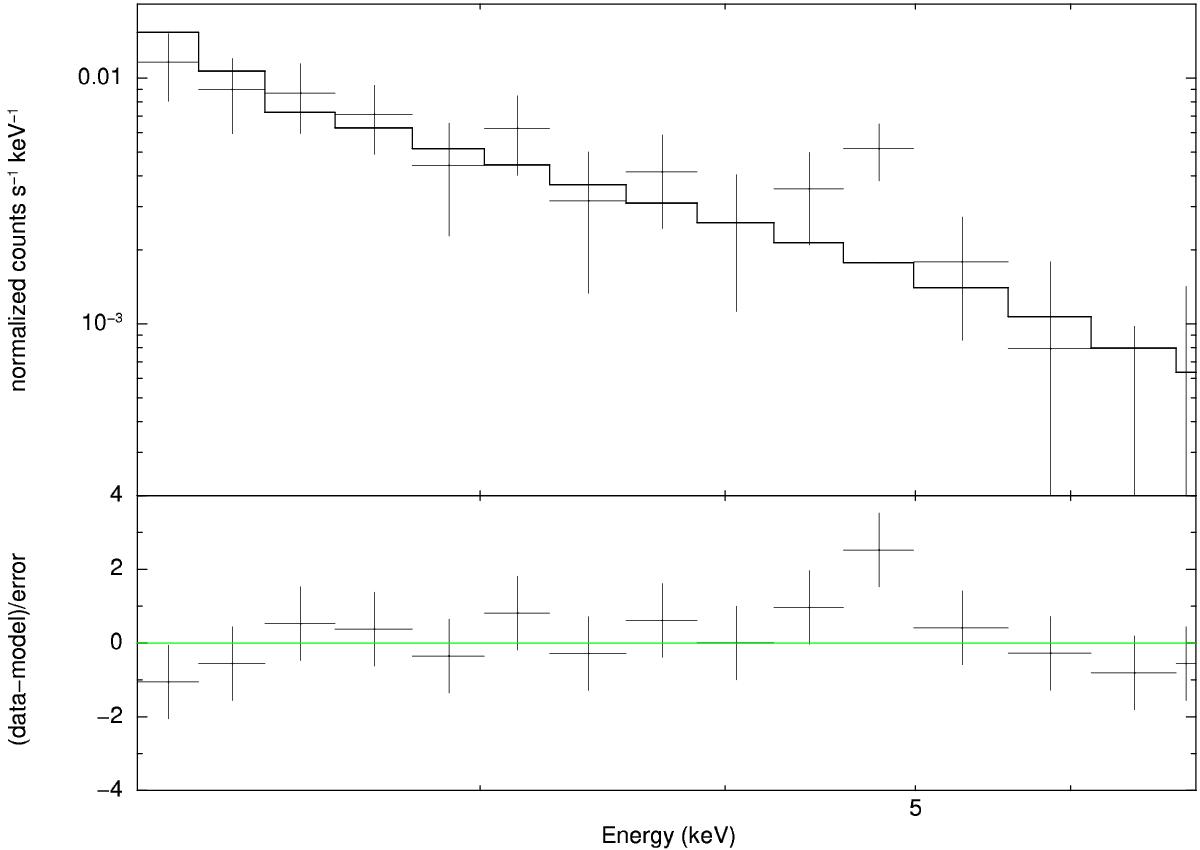
Fig. 5

Upper panel: EPIC pn cumulative spectrum of the hard X-ray point sources within the shell of Kes 78 together with the (properly scaled) best-fit model adopted by B16 for the hard X-ray emitting component and corresponding residuals (see Sect. 3.2 for details).
Current usage metrics show cumulative count of Article Views (full-text article views including HTML views, PDF and ePub downloads, according to the available data) and Abstracts Views on Vision4Press platform.
Data correspond to usage on the plateform after 2015. The current usage metrics is available 48-96 hours after online publication and is updated daily on week days.
Initial download of the metrics may take a while.