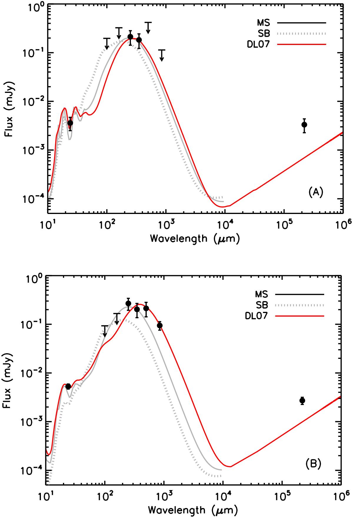
Fig. 10

Mid-infrared to radio SED of 24 μm-undetected pBzK+UVJp galaxies, in the low-zA) and total sample B), from stacked cutout images (filled circles with error bars, the arrows representing 3σ upper limits), with best-fit models from Magdis et al. (2012) (solid and dotted gray curves for main sequence and starburst templates, respectively) and Draine & Li (2007) (solid red curve extending to the radio regime). Both the M12 and DL07 models have been broadened according to the redshift distributions of each sample.
Current usage metrics show cumulative count of Article Views (full-text article views including HTML views, PDF and ePub downloads, according to the available data) and Abstracts Views on Vision4Press platform.
Data correspond to usage on the plateform after 2015. The current usage metrics is available 48-96 hours after online publication and is updated daily on week days.
Initial download of the metrics may take a while.