Free Access
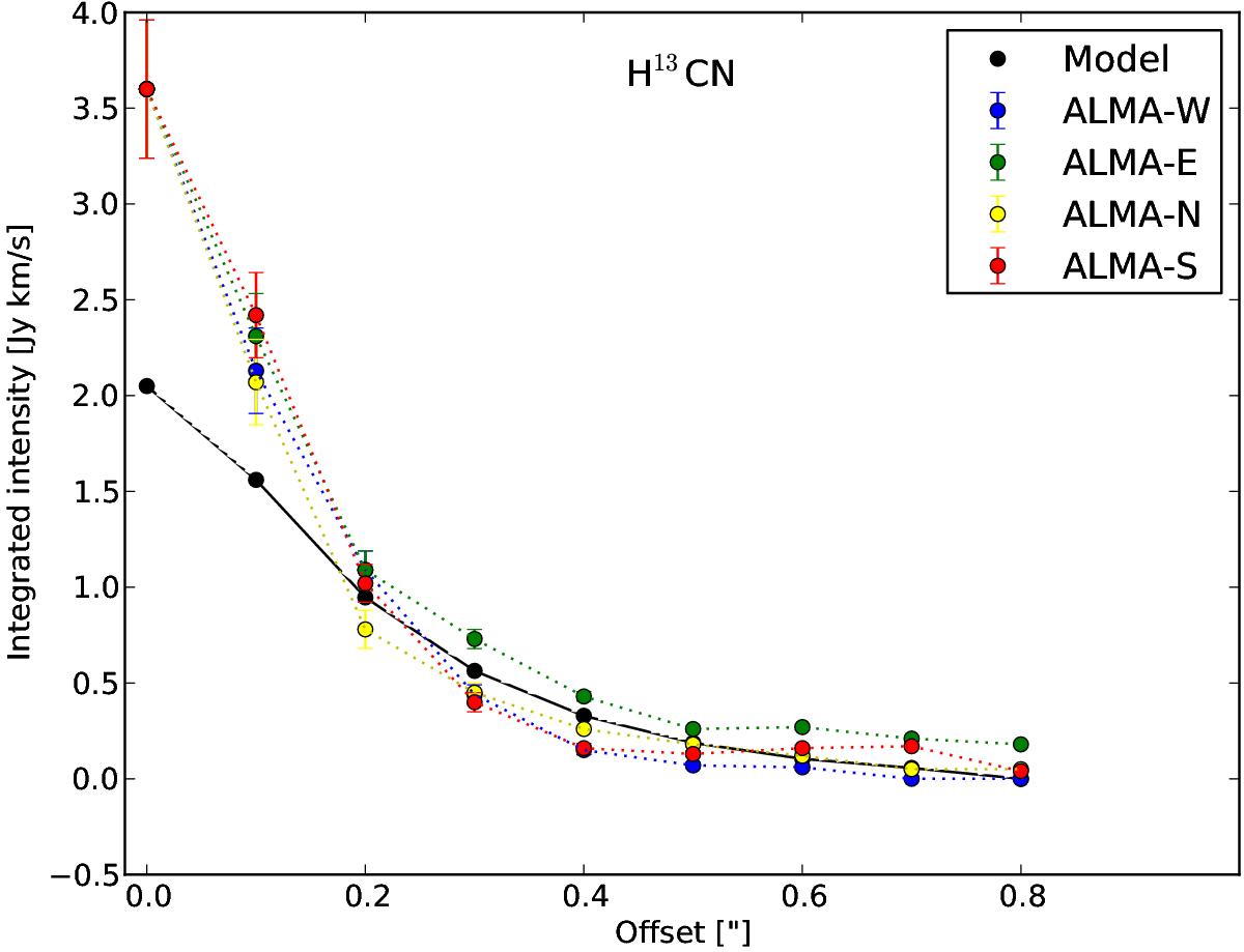
Fig. A.2

Comparison of the ALMA integrated intensities of H13CN(4−3) at radial offset points in the CSE of R Scl towards the west, east, north and south from the centre of the star with the model results. Error-bars on the observational points show 10% uncertainty on the flux calibration.
Current usage metrics show cumulative count of Article Views (full-text article views including HTML views, PDF and ePub downloads, according to the available data) and Abstracts Views on Vision4Press platform.
Data correspond to usage on the plateform after 2015. The current usage metrics is available 48-96 hours after online publication and is updated daily on week days.
Initial download of the metrics may take a while.