Free Access
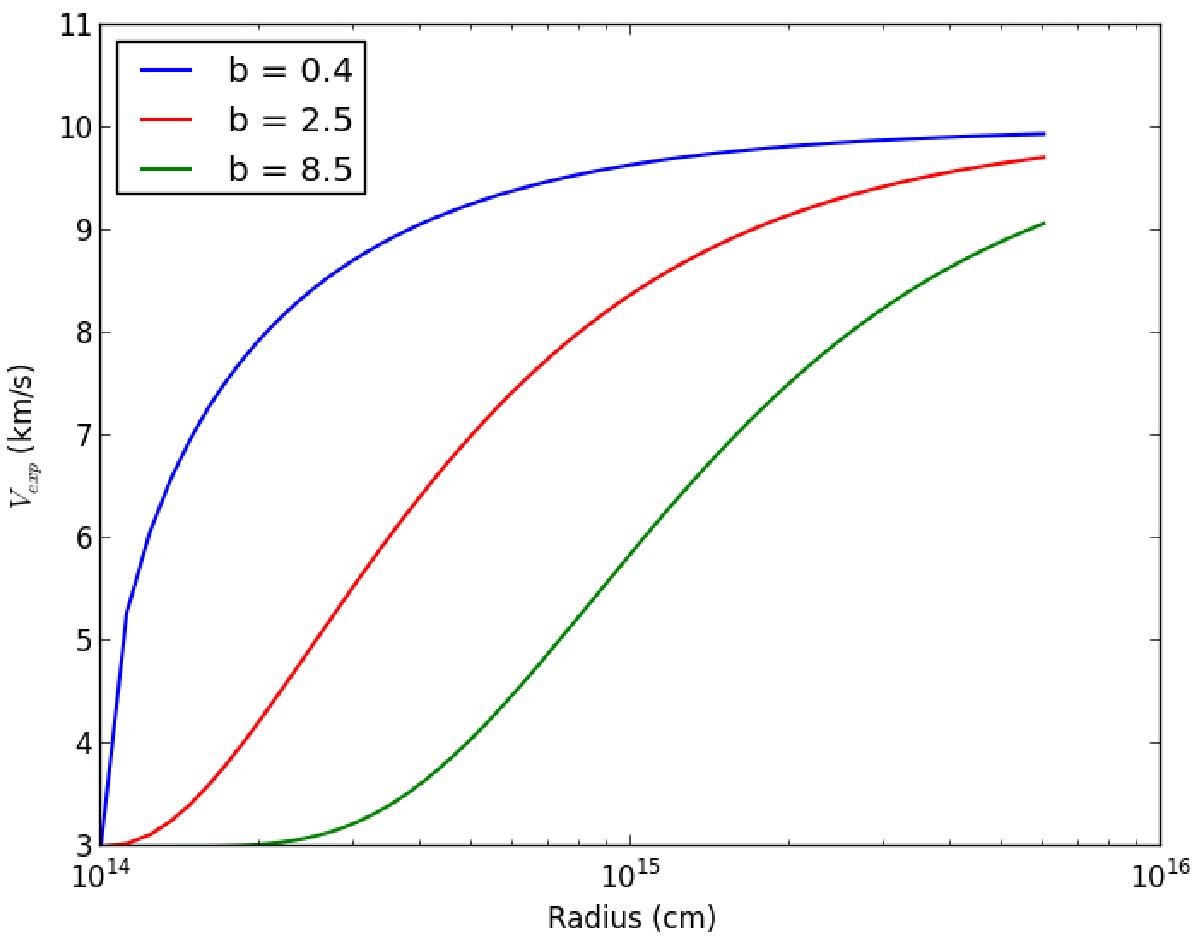
Fig. 2

Gas radial expansion velocity profiles for the v∞ = 10 km s-1 and b values of 0.4, 8.5 and 2.5. The model with b = 2.5 leads to the best fits to the line shape of spectra at all radial offset positions from the centre of the star.
Current usage metrics show cumulative count of Article Views (full-text article views including HTML views, PDF and ePub downloads, according to the available data) and Abstracts Views on Vision4Press platform.
Data correspond to usage on the plateform after 2015. The current usage metrics is available 48-96 hours after online publication and is updated daily on week days.
Initial download of the metrics may take a while.