Free Access
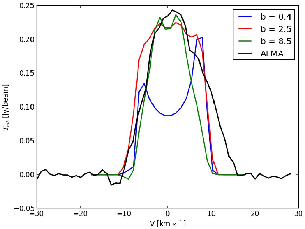
Fig. 3

Comparison of the H13CN(4–3) intensity profile at the centre of the star from ALMA observations and three models with b = 0.4, 2.5 and 8.5. The model with b = 2.5 reasonably fits the line spectra, while models with b = 8.5 and 0.4 are not consistent with the observations at the centre of the star.
Current usage metrics show cumulative count of Article Views (full-text article views including HTML views, PDF and ePub downloads, according to the available data) and Abstracts Views on Vision4Press platform.
Data correspond to usage on the plateform after 2015. The current usage metrics is available 48-96 hours after online publication and is updated daily on week days.
Initial download of the metrics may take a while.