Free Access
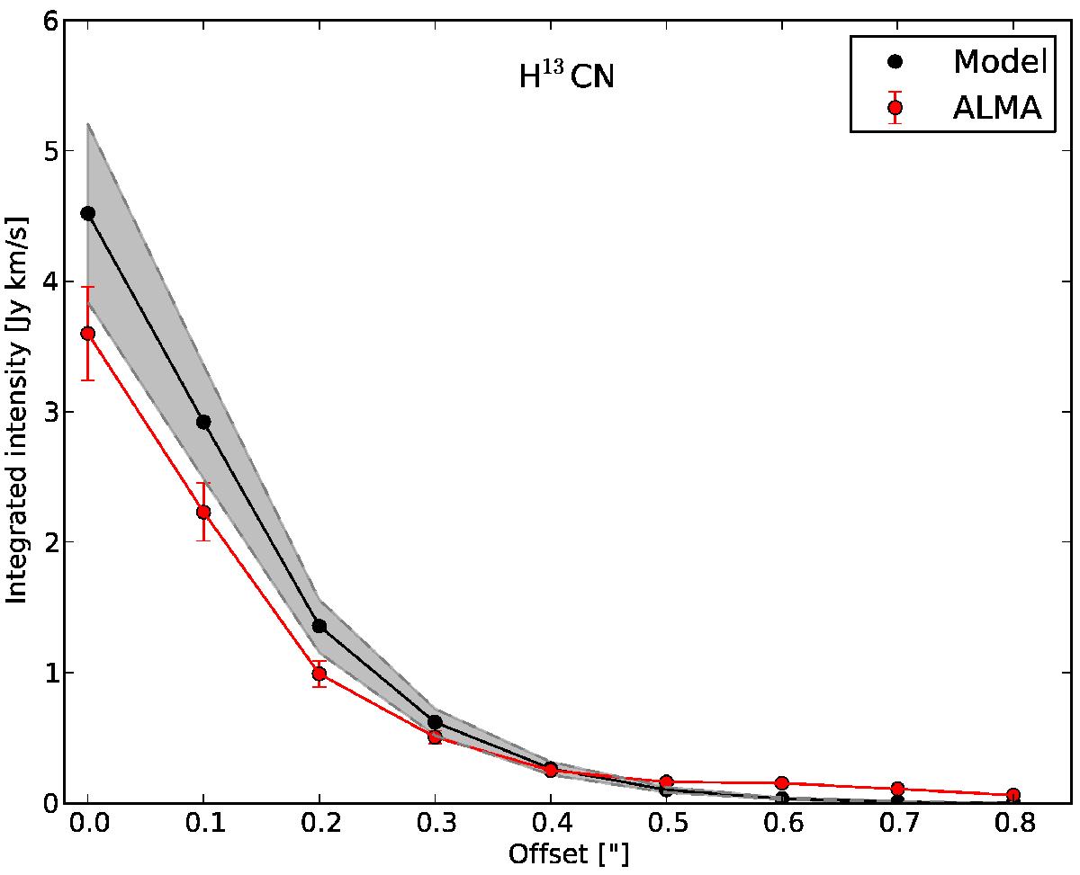
Fig. 7

Comparison between the average of integrated intensities of the H13CN(4−3) at radial offset positions with best-fitting model which has values of f0 = 1.9 × 10-6 and Re = 2.0 × 1015 cm. The grey region shows 1σ confidence level for Re.
Current usage metrics show cumulative count of Article Views (full-text article views including HTML views, PDF and ePub downloads, according to the available data) and Abstracts Views on Vision4Press platform.
Data correspond to usage on the plateform after 2015. The current usage metrics is available 48-96 hours after online publication and is updated daily on week days.
Initial download of the metrics may take a while.