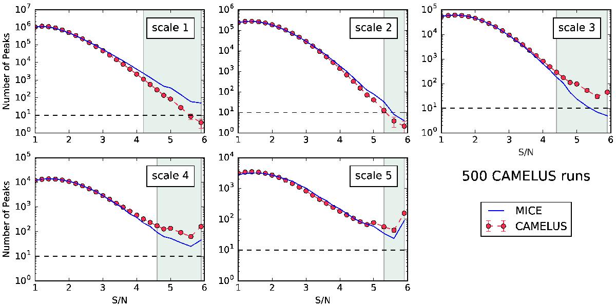
Fig. 4

Comparison of peak abundance histograms between Camelus (red circles) and MICE (blue line) for 4650 deg2. Error bars for Camelus represent the standard deviation of 500 realizations for the associated S/N bin. There is good agreement between the mock observations and the Camelus predictions across all wavelet filtering scales, especially for ν lower than ~5. The shaded regions represent bins where the relative different between MICE and Camelus is larger than 50%. We apply a conservative cut and omit these higher-bias bins in our analysis.
Current usage metrics show cumulative count of Article Views (full-text article views including HTML views, PDF and ePub downloads, according to the available data) and Abstracts Views on Vision4Press platform.
Data correspond to usage on the plateform after 2015. The current usage metrics is available 48-96 hours after online publication and is updated daily on week days.
Initial download of the metrics may take a while.