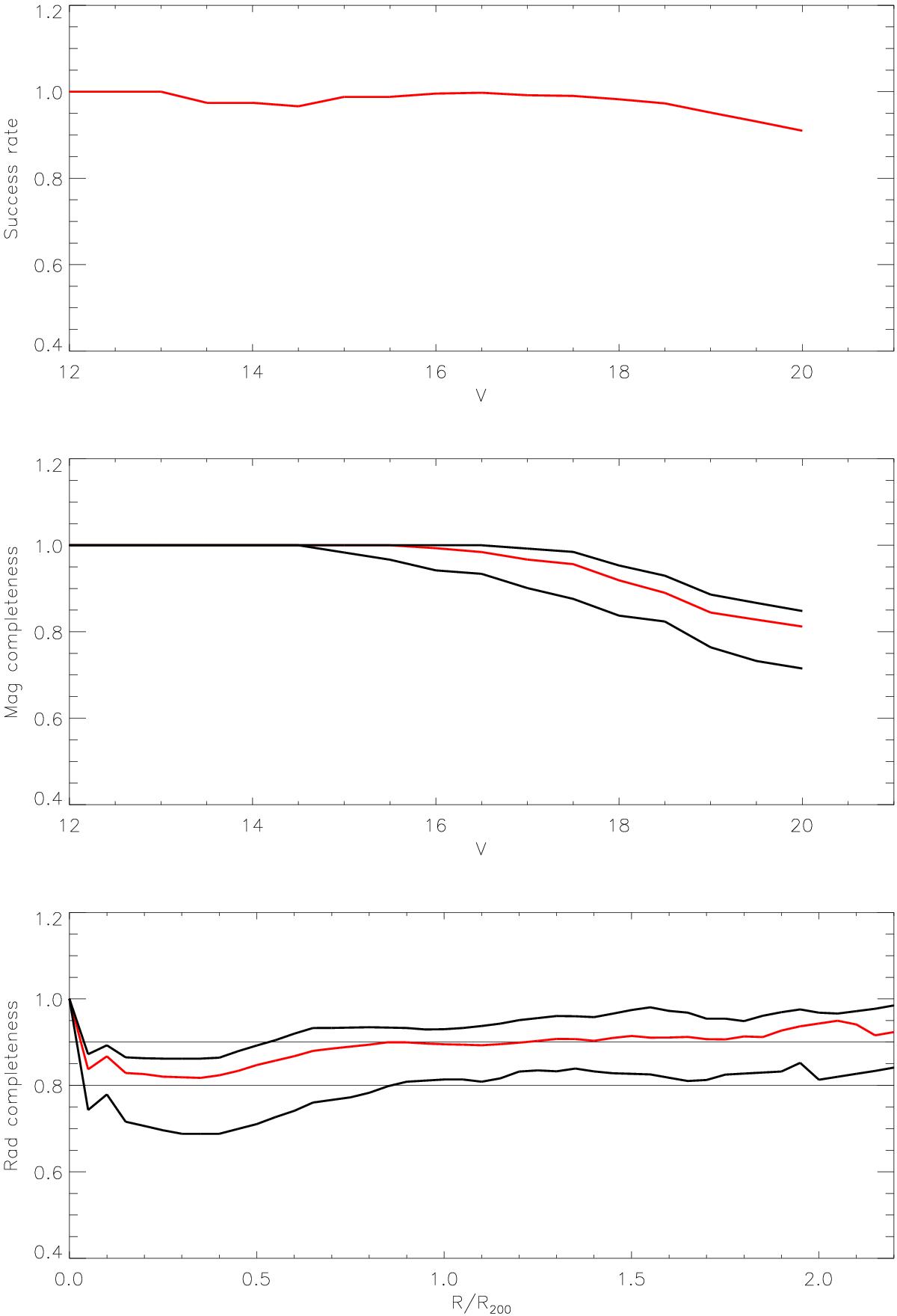
Fig. 5

Upper panel: success rate of redshift measurement. Middle panel: completeness in magnitude of the global OmegaWINGS spectroscopic sample. The red line gives the median value per bin of magnitude (in bins of 0.5 mag) and the two black lines represent the 15th and the 85th percentiles of the distribution. Lower panel: radial completeness.
Current usage metrics show cumulative count of Article Views (full-text article views including HTML views, PDF and ePub downloads, according to the available data) and Abstracts Views on Vision4Press platform.
Data correspond to usage on the plateform after 2015. The current usage metrics is available 48-96 hours after online publication and is updated daily on week days.
Initial download of the metrics may take a while.