Free Access
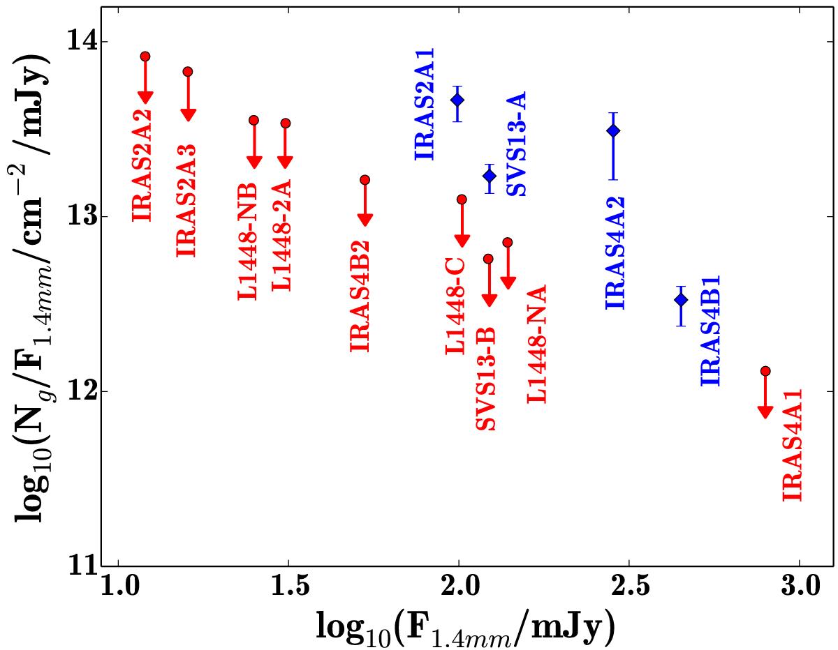
Fig. 5

Ratio between the glycolaldehyde column density (Ntot) and the peak flux of the 1.4 mm continuum emission (F1.4 mm; Maury et al., in prep.) versus the 1.4 mm peak flux. Red arrows are for sources where glycolaldehyde has not been detected.
Current usage metrics show cumulative count of Article Views (full-text article views including HTML views, PDF and ePub downloads, according to the available data) and Abstracts Views on Vision4Press platform.
Data correspond to usage on the plateform after 2015. The current usage metrics is available 48-96 hours after online publication and is updated daily on week days.
Initial download of the metrics may take a while.