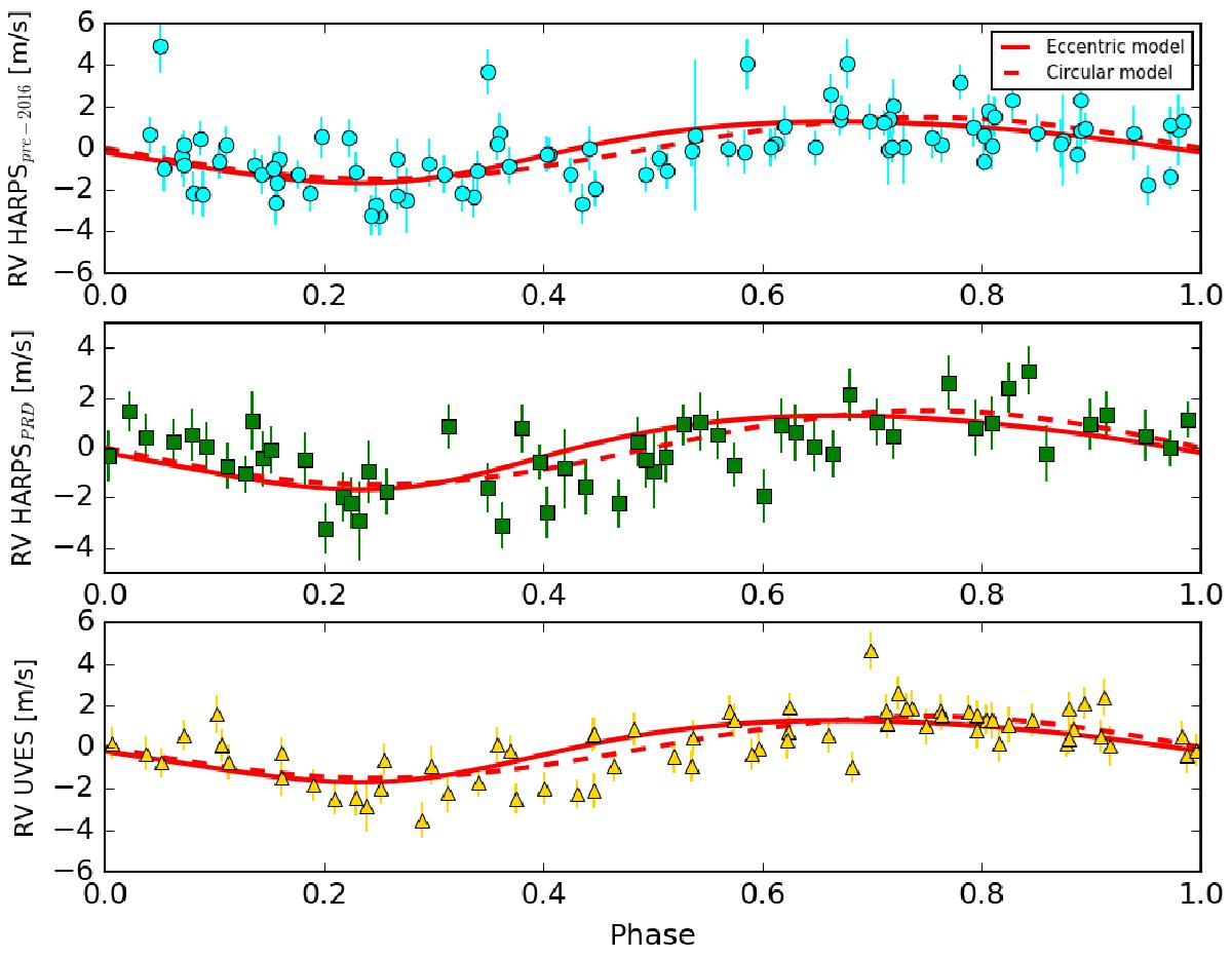
Fig. 4

Radial velocity residuals for the one-planet model, after subtracting the best-fit GP correlated noise model, folded at the best-fit orbital period P = 11.1855 days. Each dataset is showed here separately for clarity. Superposed are the best-fit eccentric model (continuous red curve) and the simpler circular model (dashed red curve).
Current usage metrics show cumulative count of Article Views (full-text article views including HTML views, PDF and ePub downloads, according to the available data) and Abstracts Views on Vision4Press platform.
Data correspond to usage on the plateform after 2015. The current usage metrics is available 48-96 hours after online publication and is updated daily on week days.
Initial download of the metrics may take a while.