Free Access
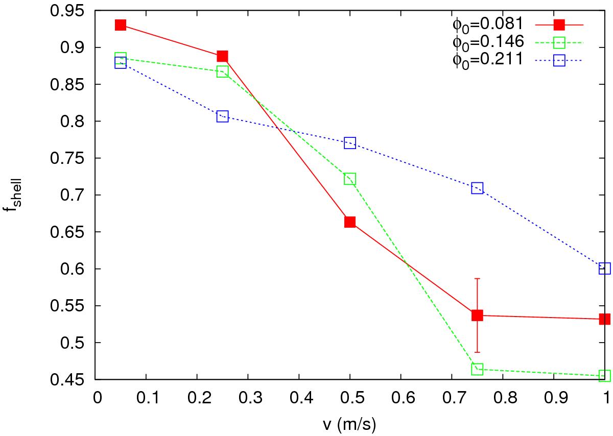
Fig. 3

Dependence of the fraction of the dust shell, fshell, that covers the chondrules after collision on the collision velocity v. The chondrules are covered with a dust shell of fixed thickness d = 5μm and varying filling factor φ. A representative error is included.
Current usage metrics show cumulative count of Article Views (full-text article views including HTML views, PDF and ePub downloads, according to the available data) and Abstracts Views on Vision4Press platform.
Data correspond to usage on the plateform after 2015. The current usage metrics is available 48-96 hours after online publication and is updated daily on week days.
Initial download of the metrics may take a while.