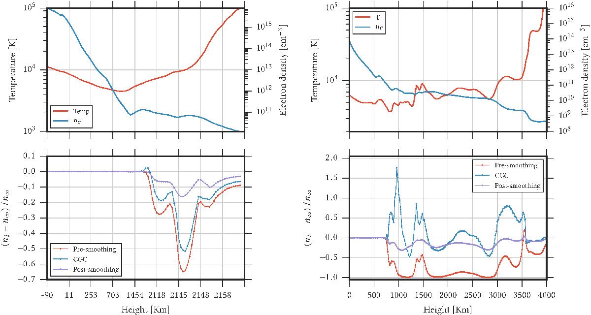
Fig. 2

Behavior of the relative error in population at the finest grid during various steps in a V-cycle with three grids, for the FAL-C atmosphere (left-hand panels) and a column extracted from a 3D radiation-MHD atmosphere (atmosphere Model 1, see Sect. 3). Both computations are done for a H i atom using 10 pre-smoothings, 32 coarse-grid iterations and 25 post-smoothings. Upper panel: temperature and electron density in the atmosphere. Lower panels: error for the H in = 2 level after the pre-smoothing (red), the error after application of the coarse-grid correction (blue), and the error after application of the post-smoothing (purple). For both atmospheres the coarse grid correction has decreased the low spatial-frequency error, but increased the high-frequency error. The latter is largely removed by the post-smoothing.
Current usage metrics show cumulative count of Article Views (full-text article views including HTML views, PDF and ePub downloads, according to the available data) and Abstracts Views on Vision4Press platform.
Data correspond to usage on the plateform after 2015. The current usage metrics is available 48-96 hours after online publication and is updated daily on week days.
Initial download of the metrics may take a while.