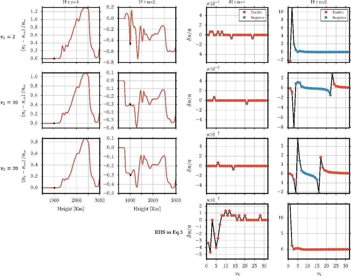
Fig. 6

Dependence on the number of post-smoothing iterations of the occurrence of negative populations at the coarsest grid. The left-hand columns show the relative error at the finest grid after two full V-cycles. The right-hand columns show the relative change of the population at the coarsest grid in a single grid point in the atmosphere. Red dots indicate positive populations; blue dots negative populations. The chosen grid point is indicated by the black dot in the left-hand columns. For each row of panels, a different number of post-smoothing iterations is applied. First row: ν2 = 2; second row: ν2 = 10; third row: ν2 = 20. In the fourth row, we show the relative change of the population at the coarsest grid with ν2 = 2, but we solve Eq. (4) instead of Eq. (10), that is, we perform standard MALI iterations instead of coarse-grid iterations. The computation was performed in a 1D plane-parallel atmosphere constructed from column x = 0, y = 244 of Model 1, with the H i atom. The other multigrid parameters are ν1 = 2, ν3 = 32, full-weighting restriction and linear interpolation.
Current usage metrics show cumulative count of Article Views (full-text article views including HTML views, PDF and ePub downloads, according to the available data) and Abstracts Views on Vision4Press platform.
Data correspond to usage on the plateform after 2015. The current usage metrics is available 48-96 hours after online publication and is updated daily on week days.
Initial download of the metrics may take a while.