Free Access

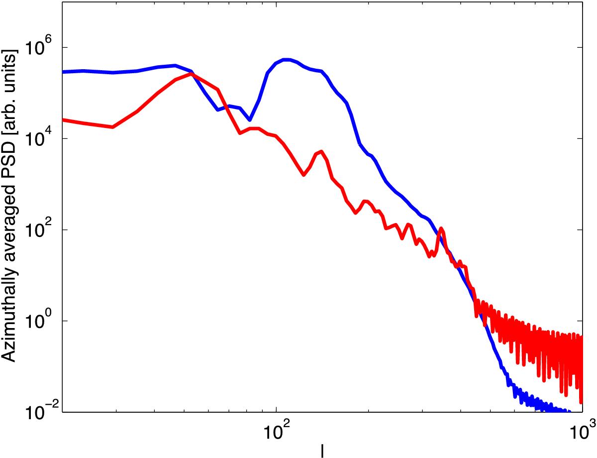
Fig. B.1

image

Estimates of power spectra of the signal (blue) and the noise (red) obtained from the real data as a function of angular degree l. The power spectrum of the signal (flows) was normalised so that the RMS of the flow is 100 m s-1. The power spectrum of the random noise was also normalised to RMS of 10 m s-1. Such a situation therefore represents S/N = 10.

Current usage metrics show cumulative count of Article Views (full-text article views including HTML views, PDF and ePub downloads, according to the available data) and Abstracts Views on Vision4Press platform.

Data correspond to usage on the plateform after 2015. The current usage metrics is available 48-96 hours after online publication and is updated daily on week days.

Initial download of the metrics may take a while.